Индивидуальные различия в обучении младенцев: как спонтанные движения влияют на развитие навыков

Индивидуальные различия в обучении младенцев: как спонтанные движения влияют на развитие навыков

Интересное сегодня

Как стратегии совладания партнера влияют на психологическое ...

Введение Бесплодие, распространенность которого составляет приблизительно 15%, сталкивает пары с мно...

Почему мы предпочитаем простые объяснения: исследование когн...

Новое исследование Университета Миссисипи раскрывает, почему люди часто предпочитают простые объясне...

Валидация инструмента EDS-3A для обнаружения тревожности у б...

Тревожность является одним из наиболее распространенных психических расстройств во время берем...

Влияние прошлой доходности и типа фонда на финансовые решени...

Введение в проблему инвестиционных решений Инвестирование представляет собой сложную задачу, требующ...

Добровольное целибатство: статистика, причины и удовлетворён...

Сколько мужчин и женщин выбирают целибат? В прошлом году Kinsey Institute (Институт Кинси) провёл на...

Как социальная изоляция влияет на подростков: исследование К...

Чувствительность подростков к социальной изоляции Новое исследование, проведенное учеными из Кембрид...

Схема эксперимента: а Процедура эксперимента. б Процедуры сбора и подготовки данных. Скорость смещения представляет собой количество движения каждой конечности в 1-минутном временном окне. Базовое отношение — это отношение скорости смещения к ее среднему значению в базовой фазе. Таким образом, среднее значение базового отношения за базовую фазу равно 1.
Схема эксперимента: а Процедура эксперимента. б Процедуры сбора и подготовки данных. Скорость смещения представляет собой количество движения каждой конечности в 1-минутном временном окне. Базовое отношение — это отношение скорости смещения к ее среднему значению в базовой фазе. Таким образом, среднее значение базового отношения за базовую фазу равно 1.
Групповая кривая обучения и индивидуальные различия. а Усредненные по группам кривые обучения для подключенной руки (ConA). b Соотношение скорости смещения в игровых фазах к базовой фазе, показывающее индивидуальные различия. Если точка находится выше линии y=x, то количество движения конечности больше, чем в базовой фазе (базовое отношение >1). Если точка находится ниже линии y=x, то количество движения конечности меньше, чем в базовой фазе (базовое отношение <1). Цветовые линии представляют собой регрессионные линии, проходящие через начало координат для каждой возрастной группы.
Групповая кривая обучения и индивидуальные различия. а Усредненные по группам кривые обучения для подключенной руки (ConA). b Соотношение скорости смещения в игровых фазах к базовой фазе, показывающее индивидуальные различия. Если точка находится выше линии y=x, то количество движения конечности больше, чем в базовой фазе (базовое отношение >1). Если точка находится ниже линии y=x, то количество движения конечности меньше, чем в базовой фазе (базовое отношение <1). Цветовые линии представляют собой регрессионные линии, проходящие через начало координат для каждой возрастной группы.
Индивидуальные различия в базовом отношении подключенной руки (ConA). Диаграммы рассеяния показывают базовое отношение подключенной руки (ConA) против времени. Каждый цветной символ представляет собой отдельного младенца.
Индивидуальные различия в базовом отношении подключенной руки (ConA). Диаграммы рассеяния показывают базовое отношение подключенной руки (ConA) против времени. Каждый цветной символ представляет собой отдельного младенца.
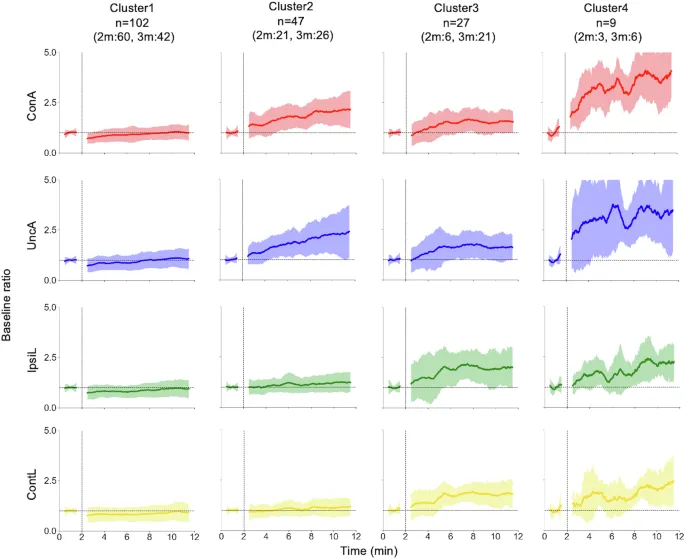
Кластерные средние временные эволюции базового отношения, окрашенные по конечностям. Первые 2 минуты — это базовая фаза, следующие 10 минут — игровая фаза. ConA — подключенная рука, UncA — неподключенная рука, IpsiL — ипсилатеральная нога, ContL — контралатеральная нога.
Кластерные средние временные эволюции базового отношения, окрашенные по конечностям. Первые 2 минуты — это базовая фаза, следующие 10 минут — игровая фаза. ConA — подключенная рука, UncA — неподключенная рука, IpsiL — ипсилатеральная нога, ContL — контралатеральная нога.
Кластерные средние временные эволюции скорости смещения, окрашенные по конечностям. ConA — подключенная рука, UncA — неподключенная рука, IpsiL — ипсилатеральная нога, ContL — контралатеральная нога. Различия между кластерами в скоростях смещения наблюдаются на базовом этапе, а не на игровом. Скорость смещения в базовой фазе низка, когда базовое отношение соответствующей конечности высокое.
Кластерные средние временные эволюции скорости смещения, окрашенные по конечностям. ConA — подключенная рука, UncA — неподключенная рука, IpsiL — ипсилатеральная нога, ContL — контралатеральная нога. Различия между кластерами в скоростях смещения наблюдаются на базовом этапе, а не на игровом. Скорость смещения в базовой фазе низка, когда базовое отношение соответствующей конечности высокое.
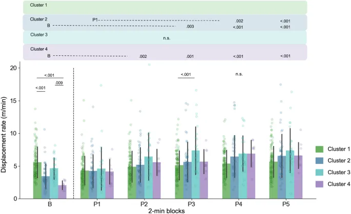
Кластерная средняя скорость смещения ConA. Показаны средние скорости смещения в каждой фазе (B — базовая фаза, P — игровая фаза, P1: 0–2 мин, P2: 2–4 мин, P3: 4–6 мин, P4: 6–8 мин, P5: 8–10 мин). Столбчатые диаграммы показывают среднее квадратичное отклонение скоростей смещения в каждом кластере. Значения p выше каждого столбца обозначают результат теста Тьюки (HSD) для кластеров в каждой фазе. Значения p, выровненные над панелью, обозначают результат теста Тьюки (HSD) для фаз в каждом кластере. n.s. означает отсутствие статистической значимости для множественных сравнений. Мы не проводили множественные сравнения для кластера 1, P1, P2 и P5, поскольку простые основные эффекты фаз или кластеров не были значительными.
Кластерная средняя скорость смещения ConA. Показаны средние скорости смещения в каждой фазе (B — базовая фаза, P — игровая фаза, P1: 0–2 мин, P2: 2–4 мин, P3: 4–6 мин, P4: 6–8 мин, P5: 8–10 мин). Столбчатые диаграммы показывают среднее квадратичное отклонение скоростей смещения в каждом кластере. Значения p выше каждого столбца обозначают результат теста Тьюки (HSD) для кластеров в каждой фазе. Значения p, выровненные над панелью, обозначают результат теста Тьюки (HSD) для фаз в каждом кластере. n.s. означает отсутствие статистической значимости для множественных сравнений. Мы не проводили множественные сравнения для кластера 1, P1, P2 и P5, поскольку простые основные эффекты фаз или кластеров не были значительными.
Смоделированные временные эволюции базовых отношений ConA. а Фактические временные эволюции (серый) и их симуляция (красный) для кластеров 1, 2, 3 и 4, расположенные снизу вверх. Собственные частоты колебаний были выбраны из равномерного распределения с диапазоном 2.8 < ω₀ < 3.3 (Кластер 1), 0.9 < ω₀ < 1.4 (Кластер 2), 1.4 < ω₀ < 1.9 (Кластер 3) и 0.3 < ω₀ < 0.8 (Кластер 4). Симуляции проводились для того же количества, что и размер каждого кластера, и усредненные симулированные временные эволюции базового отношения были рассчитаны для каждого кластера. b График по младенцам фактических и симулированных временных эволюций базового отношения для подключенной руки (ConA). Пунктирные линии на фактических данных разделяют 2- или 3-месячных младенцев в пределах кластера.
Смоделированные временные эволюции базовых отношений ConA. а Фактические временные эволюции (серый) и их симуляция (красный) для кластеров 1, 2, 3 и 4, расположенные снизу вверх. Собственные частоты колебаний были выбраны из равномерного распределения с диапазоном 2.8 < ω₀ < 3.3 (Кластер 1), 0.9 < ω₀ < 1.4 (Кластер 2), 1.4 < ω₀ < 1.9 (Кластер 3) и 0.3 < ω₀ < 0.8 (Кластер 4). Симуляции проводились для того же количества, что и размер каждого кластера, и усредненные симулированные временные эволюции базового отношения были рассчитаны для каждого кластера. b График по младенцам фактических и симулированных временных эволюций базового отношения для подключенной руки (ConA). Пунктирные линии на фактических данных разделяют 2- или 3-месячных младенцев в пределах кластера.
Thumbnail 1
Thumbnail 2
Thumbnail 3
Thumbnail 4
Thumbnail 5
Thumbnail 6
Thumbnail 7
Оригинал исследования на сайте автора

Индивидуальные различия в обучении младенцев: как спонтанные движения влияют на развитие навыков

Способность маленьких детей учиться в мире проявляется через изменения в их поведении при столкновении с новыми событиями. Младенцы чувствительны к причинно-следственным связям между своими движениями и событиями в окружающей среде. Это проявляется в изменениях их поведения, таких как движения конечностей, вызывающие движение мобиля 1,2,3,4, движения рук в ответ на изображения матери 5, движения глаз при виде улыбающихся лиц 6 и непитательное сосание в ответ на голос матери 7. Хотя групповой анализ таких поведенческих изменений подтверждает наличие обучаемости у младенцев уже в возрасте 2 месяцев, остается неясным, насколько точно усредненные изменения поведения отражают механизмы, лежащие в основе изменений на индивидуальном уровне. Предыдущие исследования демонстрировали индивидуальные различия в траекториях развития моторных и поведенческих навыков в течение дней, месяцев и лет. К ним относятся освоение хватания 8,9,10, развитие ползания 11, сидения 12 и ходьбы 12,13, а также более общие процессы освоения навыков 14. Однако краткосрочные межиндивидуальные различия в обучении не были четко определены. Краткосрочное обучение — это не просто флуктуация для развития, а потенциальный драйвер долгосрочного развития через процессы памяти 15 и динамические взаимодействия между мозгом, телом и окружающей средой. В частности, поведение маленьких младенцев характеризуется разнообразием спонтанных движений, которые быстро развиваются в постнатальный период 16, но демонстрируют внутрииндивидуальную последовательность наряду со значительными межиндивидуальными различиями 17,18,19. Через эти движения младенцы могут инициировать взаимодействие с физическим миром, что позволяет им приобретать действия уникальными способами 20,21. Таким образом, различные паттерны спонтанных движений могут обеспечивать различную основу для формирования действий в отношении окружающей среды. В контексте обучения мы не можем игнорировать тот факт, что репертуары внутренних движений могут различаться от младенца к младенцу, что поднимает следующий вопрос: как паттерны внутренних спонтанных движений влияют на обучение?

Экспериментальная парадигма и методы

Мобильная парадигма

Для изучения динамической эволюции поведения во время обучения мы использовали экспериментальную парадигму, известную как «мобильная парадигма», которая широко применялась для выявления обучаемости у младенцев 1,4,22,23,24,25. В этой парадигме конечность младенца привязывается к подвесному мобилю с помощью ленты, и движения конечности вызывают движение мобиля. В результате изучения связи между собственными движениями и движениями мобиля младенцы изменяют свои спонтанные движения, превращая их в действия, подходящие для перемещения мобиля. Мы называем освоенные действия инструментальным поведением 26, поскольку они выполняются для достижения определенного результата. Хотя такое поведение, вероятно, является целенаправленным 4, неясно, есть ли у младенцев цель при выполнении этих действий. Поэтому мы используем термин «инструментальное». Увеличение связанного движения конечности интерпретируется как признак обучения, и групповой анализ показал, что обучение устанавливается у младенцев уже в возрасте 2 месяцев 1,2,27,28. На основании этих результатов стало общепринятым использовать увеличение подвижности конечности в 1,5 раза по сравнению с базовым уровнем как порог для обучения 3,29,30. Однако более детальный анализ состояний до обучения и изменений в процессе обучения предполагает, что обучение включает в себя динамические свойства, которые не могут быть полностью охвачены только усилением движения. Например, некоторые предыдущие исследования показали, что разные группы младенцев, в возрасте разных месяцев или дней, демонстрировали различные изменения в паттернах движений конечностей во время процесса обучения 23,31. Даже внутри одной возрастной группы увеличение движений различалось между группами, разделенными по частоте спонтанных движений до обучения 32. Эти исследования подразумевают, что обучение отражается не только в увеличении движения конечностей. Тем не менее, идиосинкразические особенности поведенческих изменений до сих пор не были полностью раскрыты. Поэтому данное исследование направлено на изучение индивидуальных различий в поведенческих траекториях с фундаментальной целью выявления номотетических принципов, применимых ко всем индивидуумам. Для этого мы создали группы из большого числа 2- и 3-месячных младенцев с точным распределением по возрасту в пределах 10 дней и провели мобильный тест, анализируя индивидуальные различия во временной эволюции их движений. В отличие от предыдущих исследований, измерявших количество ударов ногой, в этом исследовании к руке была прикреплена веревка, и использовалась система анализа движения для захвата более богатой динамики движений.

Структура анализа

Наш анализ состоит из трех разделов: традиционный групповой анализ, кластерный анализ для изучения индивидуальных различий в поведенческих изменениях и моделирование динамических систем для объяснения этих различий. В первом разделе мы изучаем изменения в количестве движений конечностей младенцев после подключения мобиля и различия между 2- и 3-месячными младенцами на групповом уровне. Мы также изучаем особенности индивидуальных различий в движениях конечностей до и после обучения, а также в поведенческих изменениях между ними, путем построения индивидуальных данных. Этот анализ далее исследует, могут ли возрастные различия сами по себе полностью объяснить индивидуальные различия в обучении. В следующем разделе мы применяем временную кластеризацию к данным временной эволюции всех движений конечностей для извлечения разнообразия поведенческих изменений младенцев. Хотя индивидуальные различия в поведенческих изменениях во время мобильной парадигмы изучались путем внимательного наблюдения за временной эволюцией изменений движений конечностей у каждого младенца 20,26,33,34,35, этот метод неприменим к большому набору данных. Вместо этого мы используем методы кластеризации для разделения большого числа младенцев на несколько кластеров и анализируем индивидуальные различия вдоль кластеров. В последнем разделе мы исследуем возможный механизм, лежащий в основе процесса обучения с индивидуальными различиями, используя модель динамических систем для мобильной парадигмы 36. В подходе динамических систем спонтанные движения охватываются концепцией внутренней динамики, из которой возникают новые скоординированные поведения 36,37,38. Наблюдаемые поведенческие состояния генерируются из динамической системы, состоящей из мозга, тела и окружающей среды младенца, содержащей общие характеристики динамики движений каждого младенца. Следовательно, поведенческая траектория каждого индивидуума считается отражением индивидуальных различий в структурно стабильной динамике аттракторов, лежащей в основе генерации движений. Мы используем концепцию динамических систем, отображая различные паттерны изменений движений конечностей на различия в параметре, определяющем степень спонтанных движений. Сначала мы моделируем индивидуальные траектории поведенческих изменений в ходе обучения, а затем используем их для воспроизведения кривых обучения на групповом уровне.

Методы

Участники

Для выяснения возрастных поведенческих различий и тщательного изучения индивидуальных различий мы нацелились на две возрастные группы: 2-месячных (70–79 дней) и 3-месячных (101–109 дней) с общим числом участников 274, что считается относительно большим размером выборки для такого типа экспериментов с маленькими младенцами 39. 185 младенцев завершили экспериментальные процедуры (2-месячные младенцы: n = 90, 49 девочек и 51 мальчик, возраст 70–79 дней, средний возраст 75,1 ± 2,6 дня; 3-месячные младенцы: n = 95, 40 девочек и 55 мальчиков, возраст 101–109 дней, средний возраст 105,3 ± 2,1 дня). Еще 94 младенца участвовали в исследовании, но были исключены из выборки из-за плача или беспокойства (n = 64), переворачивания (n = 5), сонливости (n = 2), сосания пальца (n = 4), икоты (n = 1) или системных ошибок (n = 18). Все участники были доношенными младенцами, набранными через местный базовый реестр жителей. Этическое одобрение данного исследования было получено от этического комитета по этике и безопасности исследований в области наук о жизни Токийского университета, и информированное письменное согласие было получено от родителей всех младенцев до начала экспериментов. Никакие аспекты этого эксперимента не были предварительно зарегистрированы.

Аппаратура

Все измерения проводились в лаборатории Высшей школы образования Токийского университета. Для экспериментов использовался детский матрас (120 см × 70 см), самодельный мобильный аппарат (длина 60 см) и модифицированная стойка для вешалки (высота перекладины над детским матрасом 90 см). Экспериментальная установка была идентична той, что использовалась в предыдущих исследованиях 23,28,31,40,41. Каждый младенец был уложен на спину на детский матрас, с мобилем, подвешенным над младенцем на стойке для вешалки. Во время базовой фазы младенцы двигались спонтанно, наблюдая за неподвижным мобилем, состоящим из восьми цветных объектов с 16 маленькими колокольчиками. Во время фазы игры между мобилем и правым или левым запястьем младенца была прикреплена веревка. Таким образом, соответствующее движение руки вызывало движение цветных объектов и звуки колокольчиков.

Движения конечностей младенцев в трехмерном (3D) пространстве записывались с помощью системы захвата 3D-движения в реальном времени (Motion Analysis Co., Санта-Роза, Калифорния). Шесть монохромных затворных камер CCD (60 Гц; Hawk i Digital Camera) с синхронизированным инфракрасным стробоскопическим освещением были размещены вокруг детского матраса. Сферические отражающие маркеры диаметром 2 см, весом около 5 г, были прикреплены к запястьям и лодыжкам младенца для отслеживания их положения. Дополнительно использовались три видеокамеры для записи другой информации, такой как выражения лица, грубые движения и состояние мобиля.

Процедуры

Перед экспериментом младенцы были уложены на спину в тестовой зоне, и к их запястьям и лодыжкам были прикреплены четыре отражающих маркера. Поскольку младенцы, вероятно, были в бодрствующем и игривом состоянии, измерения проводились. Первый 2-минутный период измерения был базовой фазой, в течение которой спонтанные движения младенцев не вызывали движения мобиля, а младенцы наблюдали за неподвижным мобилем, подвешенным над ними. После базовой фазы между мобилем и запястьем младенца была прикреплена веревка (подключенное запястье, правое или левое, было сбалансировано между участниками). Эта конфигурация инициировала игровую фазу, продолжавшуюся 10 минут. Во время игровой фазы любое движение подключенной руки, такое как виляние, тяга, взмахи и т.д., вызывало соответствующую степень движения подвесного мобиля (Рис. 1а). Продолжительность измерения в текущем исследовании дольше, чем в наших предыдущих исследованиях 23,28,31,32,40,41, чтобы охватить полную траекторию поведения, пока младенцы изучают связь с окружающей средой. В мобильной парадигме обычно в конце вводится фаза угасания путем удаления связи между конечностью младенца и мобилем. Однако в данном исследовании мы вместо этого продлили игровую фазу, поскольку нашей основной целью было изучение разнообразия поведенческих траекторий от спонтанных к инструментальным. В этом контексте мы назвали фазу, обычно называемую фазой приобретения, игровой фазой. Эта терминология отражает более широкую концептуализацию обучения — не только приобретение специфических движений, но и включение различных промежуточных поведенческих изменений.

Схема эксперимента: а Процедура эксперимента. б Процедуры сбора и подготовки данных. Скорость смещения представляет собой количество движения каждой конечности в 1-минутном временном окне. Базовое отношение — это отношение скорости смещения к ее среднему значению в базовой фазе. Таким образом, среднее значение базового отношения за базовую фазу равно 1.
Рис. 1: Схема эксперимента. а Процедура эксперимента. б Процедуры сбора и подготовки данных. Скорость смещения представляет собой количество движения каждой конечности в 1-минутном временном окне. Базовое отношение — это отношение скорости смещения к ее среднему значению в базовой фазе. Таким образом, среднее значение базового отношения за базовую фазу равно 1.

Подготовка данных

Временные ряды 3D-положений (x, y, z) четырех конечностей были получены с частотой дискретизации 60 Гц. Мы вычислили мгновенную 3D-скорость из положений методом центральных разностей:

$$V_{t}=qrt{{eft( rac{{x}_{t+1}{x}_{t1}}{2T} ight)}^{2}+{eft( rac{{y}_{t+1}{y}_{t1}}{2T} ight)}^{2}+{eft( rac{{z}_{t+1}{z}_{t1}}{2T} ight)}^{2}}$$ (1)

Затем мы усреднили мгновенную скорость за определенный период времени и получили усредненную скорость, используя следующее уравнение:

$${ar{V}}_{t}= rac{1}{2 au }{nt }_{ t au }^{t+ au }{V}_{t}{dt}$$ (2)

Далее мы будем называть усредненную скорость скоростью смещения, поскольку {ar{V}}_{t} не означает фактическую скорость в данный момент времени, а представляет количество движения, произошедшее в течение определенного периода времени. Мы определили au как 30 с, и таким образом наша скорость смещения равна количеству движения в 1-минутном временном окне. Скорость смещения можно рассматривать как общую меру количества движения, поскольку она учитывает изменения как величины, так и частоты движений, и было показано, что она коррелирует с количеством единиц движения 23. Кроме того, мы рассчитали базовое отношение скорости смещения следующим образом:

$${{{athrm{Ratio}}}}= rac{verline{V}_{t}} {{{{athrm{mean}}}} {{{athrm{of}}}} {verline{V}}_{t} {{{athrm{in}}}} {{{athrm{baseline}}}} {{{athrm{phase}}}}}$$ (3)

Эта конфигурация нормализует количество движений конечностей относительно того, что произошло спонтанно в базовой фазе, и фокусируется на увеличении или уменьшении движений конечностей относительно базовой фазы (Рис. 1б). Базовое отношение является правдоподобной мерой для отслеживания вариабельности обучающего поведения во время взаимодействия с мобилем 28,32,40.

Временная кластеризация

Мы провели временную кластеризацию для выяснения межиндивидуальных различий в обучающем поведении младенцев в мобильной парадигме. Этот метод разделяет временные ряды данных на определенное количество групп путем расчета их сходства. Мы использовали K-среднюю временную кластеризацию с евклидовым расстоянием, используя следующее уравнение:

$$D={um }_{i=1}^{k}{um }_{j=1}^{n}{um }_{t}{{elta }_{i,j}eft({x}_{j,t}{v}_{i,t} ight)}^{2}$$ (4)

Предполагая, что существует n временных рядов данных eft{x}_{j,t},|,j=1,2,dots ,n ight, которые должны быть разделены на k кластеров. Количество кластеров, k, является параметром, выбранным для наилучшего отражения структуры данных. В нашем исследовании k было выбрано равным 4, а временные ряды данных были понижены до 1 Гц. D представляет собой сумму расстояний от каждого временного ряда данных до их соответствующих центров кластеров eft{v}_{i,{t}},|,i=1,dots ,k ight. {elta }_{i,j}=1, если {x}_{j,t} присвоен кластеру i, и иначе {elta }_{i,j}=0. Основная идея кластеризации K-средних заключается в минимизации функции D путем изменения присвоения каждого временного ряда данных к соответствующему кластеру 42. Сначала каждому набору данных случайно присваивается один из кластеров, а затем итеративно изменяется его присвоение к кластеру, центр которого наиболее близок к временному ряду данных, до тех пор, пока функция D больше не может быть уменьшена. В нашем исследовании {x}_{j,t} представляет временной ряд базовых отношений четырех конечностей j-го младенца при предположении, что базовое отношение уже масштабировано. В дополнительных материалах мы показываем результаты временной кластеризации при использовании временного ряда скорости смещения в базовой фазе или игровой фазе.

Функция была реализована с использованием tslearn 43, пакета машинного обучения Python для временных рядов. tslearn зависит от базовых пакетов Python, numpy и scipy, для манипулирования массивами и стандартных процедур линейной алгебры, и следует интерфейсу прикладного программирования scikit-learn, который интегрирует широкий спектр алгоритмов машинного обучения для Python.

Статистический анализ

Чтобы выявить статистическую значимость месячных различий, мы провели статистический анализ средней скорости смещения с помощью двухфакторного дисперсионного анализа (ANOVA) 6 (фаза: базовая, игра 1, 2, 3, 4 и 5) × 2 (возраст: 2 и 3 месяца) для каждой конечности. Фаза рассматривалась как внутрисубъективный фактор, а возраст — как межсубъективный фактор. Для множественных сравнений мы использовали тест Тьюки (HSD). Что касается статистической значимости кластерных различий, мы провели статистический анализ средней скорости смещения подключенной руки (ConA) с помощью двухфакторного ANOVA 6 (фаза: базовая, игра 1, 2, 3, 4 и 5) × 4 (кластер: 1, 2, 3 и 4). Фаза рассматривалась как внутрисубъективный фактор, а кластер — как межсубъективный фактор. Для множественных сравнений мы использовали тест Тьюки (HSD). Двухфакторный ANOVA был проведен с использованием пакетов Python, NumPy и pandas. Тест Тьюки (HSD) был реализован с использованием statmodels 44, пакета Python для статистического анализа. Пороговое значение p-value составляло 0,01 во всем нашем анализе. При проведении множественных тестов простых основных эффектов использовался метод Бонферрони для корректировки этого порога. Предполагалось, что распределение данных является нормальным, но это формально не проверялось.

Моделирование

Мы использовали модель динамических систем мобильной парадигмы 36 для выяснения взаимосвязи между спонтанными движениями и обучающим поведением. Эта модель состоит из трех уравнений (Ур. 5–7): одно для движения конечности младенца, одно для движения мобиля и одно для функционального взаимодействия между ними.

$$dot{x}+ot{x}eftamma +lpha {x}^{2} ight+xeft{mega }_{0}^{2}+elta {x}^{2} ight=0$$ (5)

$$dot{y}+arepsilon ot{y}+{mega }_{0}^{2}y={cx}$$ (6)

$$ot{elta }=a{y}^{2}appa elta$$ (7)

Уравнение 5 представляет собой осциллятор Ван дер Поля с дополнительным членом Даффинга, где x(t) представляет движения конечностей младенца. Когда amma < 0, x(t) попадает в предел-цикл и спонтанно демонстрирует периодические движения. {mega }_{0} определяет собственную частоту колебаний, а elta {x}^{2} модифицирует ее во время взаимодействия с мобилем. elta eft(t ight), переменная в Ур. 6, увеличивает частоту колебаний конечности, когда движется мобил. Уравнение 7 представляет собой затухающий гармонический осциллятор, где yeft(t ight) представляет движение мобиля. arepsilon — затухающий член, а {mega }_{0} определяет собственную частоту. Связь между младенцем и мобилем определяется значением c. Если c=0, осциллятор мобиля отключен от осциллятора конечности младенца. Эта установка соответствует базовой фазе. Если c > 0, осциллятор мобиля приводится в движение осциллятором конечности младенца. Эта установка соответствует игровой фазе. Уравнение 7 выражает взаимодействие между x(t) и y(t). a — ключевой параметр для поведенческих изменений, поскольку он служит для связи младенца и мобиля, а также определяет силу положительной обратной связи относительно активации движения конечностей. appa ограничивает увеличение, когда elta eft(t ight) достаточно высок. Подробности этой модели и ее поведения описаны в Kelso и Fuchs 36. Для наших симуляций использовались следующие параметры: amma =0.25, lpha =1, arepsilon =1, {mega }_{0}=2.2, a=0.13, appa =0.007. c=0 для базовой фазы и c=2 для игровой фазы. {mega }_{0} генерировалась из равномерных распределений, диапазон которых составлял 0,5, а среднее значение определялось для каждого кластера. Дифференциальные уравнения модели численно интегрировались с шагом 0,01 с использованием Odeint, библиотеки scipy для численных симуляций.

Результаты

Традиционная кривая обучения, усредненная по группам, и индивидуальные различия

185 младенцев (2-месячные: n = 90, 3-месячные: n = 95) завершили экспериментальную процедуру, состоящую из 2-минутной базовой фазы и 10-минутной игровой фазы. Скорость смещения рассчитывалась для измерения количества движений каждой конечности в 1-минутном временном окне. Эта мера отражает степень движения конечности в течение данного временного окна, в то время как ее отношение к базовому уровню (базовое отношение) указывает на степень увеличения или уменьшения движений конечностей относительно базовой фазы (см. «Методы» для подробного описания).

Сначала мы использовали традиционный подход для проверки возрастных различий в усредненных по группам кривых обучения, чтобы сделать выводы о возрастном созревании обучающих способностей 23,31,40,45. Кривая обучения рассчитывалась как усредненное по группе временное эволюция базового отношения 23,28,40. Средняя кривая обучения для руки, подключенной к мобилю (ConA), показывала общее увеличение со временем как у 2-, так и у 3-месячных младенцев, как показано на Рис. 2а. Изменения также наблюдались в конечностях, не подключенных к мобилю. Для выяснения характеристик кривых обучения для каждой возрастной группы мы провели статистический анализ средней скорости смещения с помощью ANOVA 6 (фаза: базовая, игра 1, 2, 3, 4 и 5) × 2 (возраст: 2 и 3 месяца). Средняя скорость смещения указывает на усредненное количество движения конечности в 1-минутном временном окне для каждой фазы. Фаза рассматривалась как внутрисубъективный фактор, а возраст — как межсубъективный фактор. Для подключенной руки (ConA) были обнаружены значительные основные эффекты фаз (F(5, 915) = 42.90, p < 0.001, ta _{p}^{2} = 0.189, 95% ДИ [0.155, 0.222]), и возраст (F(1, 183) = 11.27, p = 0.001, ta _{p}^{2} = 0.058, 95% ДИ [0.017, 0.102]). Также наблюдалось значительное взаимодействие между фазами и возрастом (F(5, 915) = 6.70, p < 0.001, ta _{p}^{2} = 0.035, 95% ДИ [0.015, 0.059]).

Далее мы исследовали индивидуальные различия в изменениях движений конечностей, построив индивидуальные данные в виде графика соотношения скорости смещения в фазе игры к скорости смещения в базовой фазе (базовое отношение) против времени (Рис. 2б).

Групповая кривая обучения и индивидуальные различия. а Усредненные по группам кривые обучения для подключенной руки (ConA). b Соотношение скорости смещения в игровых фазах к базовой фазе, показывающее индивидуальные различия. Если точка находится выше линии y=x, то количество движения конечности больше, чем в базовой фазе (базовое отношение >1). Если точка находится ниже линии y=x, то количество движения конечности меньше, чем в базовой фазе (базовое отношение <1). Цветовые линии представляют собой регрессионные линии, проходящие через начало координат для каждой возрастной группы.>
 <figcaption>Рис. 2: Групповая кривая обучения и индивидуальные различия. а Усредненные по группам кривые обучения для подключенной руки (ConA). b Соотношение скорости смещения в игровых фазах к базовой фазе, показывающее индивидуальные различия. Если точка находится выше линии y=x, то количество движения конечности больше, чем в базовой фазе (базовое отношение >1). Если точка находится ниже линии y=x, то количество движения конечности меньше, чем в базовой фазе (базовое отношение <1). Цветовые линии представляют собой регрессионные линии, проходящие через начало координат для каждой возрастной группы.</figcaption>
</figure>
<p>Как показано на Рис. 2б, линии, проходящие через начало координат, соответствуют базовому отношению для каждой точки. Хотя регрессионные линии указывают на то, что 3-месячные младенцы увеличивают движения конечностей больше, чем 2-месячные младенцы во всех панелях, распределение данных для каждой возрастной группы значительно перекрывается. Таким образом, возрастное различие не может полностью объяснить индивидуальные различия в изменениях движений конечностей. Как показано на Рис. 3, существуют значительные межиндивидуальные различия в скоростях смещения как во время базовой, так и во время игровой фазы, а также в базовом отношении. Это предполагает, что как начальные состояния, отражающие спонтанные движения до обучения, так и конечные состояния, представляющие измененные движения после обучения, демонстрировали значительную индивидуальную вариабельность как у 2-, так и у 3-месячных младенцев.</p>
<figure>
 <img src=
Рис. 4: Кластерные средние временные эволюции базового отношения, окрашенные по конечностям. Первые 2 минуты — это базовая фаза, следующие 10 минут — игровая фаза. ConA — подключенная рука, UncA — неподключенная рука, IpsiL — ипсилатеральная нога, ContL — контралатеральная нога.

Кластер 1 содержит наибольшее количество младенцев (n = 102, 55% участников), которые не увеличили свои движения конечностей при подключении мобиля. Две трети 2-месячных младенцев и более одной трети 3-месячных младенцев относятся к этому кластеру. Кластер 2 включает четверть участников, у которых движения обеих рук увеличились примерно вдвое по сравнению с базовым уровнем. Кластер 3 охватывает около 15% участников, у которых увеличились движения всех конечностей, включая ноги. Количество 3-месячных младенцев в этом кластере было относительно больше, чем 2-месячных. Кластер 4 состоит из нескольких младенцев, которые увеличили движения конечностей гораздо сильнее, чем в других кластерах, особенно увеличивая движения рук примерно в три или четыре раза по сравнению с базовым уровнем. Движения обеих ног также увеличились в кластере 4. Эти результаты показывают, что степень изменений движений конечностей варьируется у разных индивидуумов и не объясняется возрастными различиями. Стоит отметить, что более половины младенцев не увеличили свои движения конечностей.

Рисунок 4 иллюстрирует разнообразие паттернов изменений движений конечностей; однако они были нормализованы по количеству движений конечностей в базовой фазе. Чтобы выяснить, влияет ли вариативность спонтанных движений на базовом уровне до обучения на результаты в каждом кластере, мы проанализировали кластерные временные эволюции скорости смещения для каждой конечности без нормализации по базовому уровню, как показано на Рис. 5. В частности, младенцы в кластере 1, характеризующиеся отсутствием увеличения, имели высокие базовые значения, испытывали временное снижение в P1 и затем достигали значений, аналогичных значениям младенцев в других кластерах к P5. Следует отметить, что кластерные различия в скоростях смещения наблюдались на базовом этапе, а не на игровом этапе.

Кластерные средние временные эволюции скорости смещения, окрашенные по конечностям. ConA — подключенная рука, UncA — неподключенная рука, IpsiL — ипсилатеральная нога, ContL — контралатеральная нога. Различия между кластерами в скоростях смещения наблюдаются на базовом этапе, а не на игровом. Скорость смещения в базовой фазе низка, когда базовое отношение соответствующей конечности высокое.
Рис. 5: Кластерные средние временные эволюции скорости смещения, окрашенные по конечностям. ConA — подключенная рука, UncA — неподключенная рука, IpsiL — ипсилатеральная нога, ContL — контралатеральная нога. Различия между кластерами в скоростях смещения наблюдаются на базовом этапе, а не на игровом. Скорость смещения в базовой фазе низка, когда базовое отношение соответствующей конечности высокое.

Для подтверждения этих характеристик мы провели статистический анализ средней скорости смещения ConA с помощью ANOVA 6 (фаза: базовая, игра 1, 2, 3, 4 и 5) × 4 (кластер: 1, 2, 3 и 4) (Рис. 6). Фаза рассматривалась как внутрисубъективный фактор, а кластер — как межсубъективный фактор. Были обнаружены значительные основные эффекты фаз (F(5, 905) = 57.14, p < 0.001, ta _{p}^{2} = 0.240, 95% ДИ [0.192, 0.283]), но не кластеров (F(3, 181) = 1.196, p = 0.313, ta _{p}^{2} = 0.019, 95% ДИ [0.0, 0.062]). Кроме того, наблюдалось значительное взаимодействие между фазами и кластерами (F(5, 905) = 22.87, p < 0.001, ta _{p}^{2} = 0.112, 95% ДИ [0.073, 0.148]). Что касается взаимодействия, были обнаружены значительные простые основные эффекты фаз в кластере 2 (F(5, 905) = 18.38, p < 0.001, ta _{p}^{2} = 0.092, 95% ДИ [0.056, 0.126]), кластере 3 (F(5, 905) = 19.81, p < 0.001, ta _{p}^{2} = 0.097, 95% ДИ [0.062, 0.133]) и кластере 4 (F(5, 905) = 38.75, p < 0.001, ta _{p}^{2} = 0.176, 95% ДИ [0.131, 0.217]). Что касается эффекта кластеров, наблюдался значительный простой основной эффект кластеров в базовой фазе (F(3, 181) = 34.82, p < 0.001, ta _{p}^{2} = 0.366, 95% ДИ [0.255, 0.457]), в фазе P3 (F(3, 181) = 8.82, p < 0.001, ta _{p}^{2} = 0.128, 95% ДИ [0.043, 0.213]) и в фазе P4 (F(3, 181) = 5.57, p = 0.001, ta _{p}^{2} = 0.084, 95% ДИ [0.016, 0.161]). Результаты теста Тьюки (HSD) описаны на Рис. 6. Подробности множественных сравнений приведены в Дополнительных таблицах 9–18. Статистический анализ для других конечностей показан на Рис. S1–S3 и в Дополнительных таблицах 19–48.

Кластерная средняя скорость смещения ConA. Показаны средние скорости смещения в каждой фазе (B — базовая фаза, P — игровая фаза, P1: 0–2 мин, P2: 2–4 мин, P3: 4–6 мин, P4: 6–8 мин, P5: 8–10 мин). Столбчатые диаграммы показывают среднее квадратичное отклонение скоростей смещения в каждом кластере. Значения p выше каждого столбца обозначают результат теста Тьюки (HSD) для кластеров в каждой фазе. Значения p, выровненные над панелью, обозначают результат теста Тьюки (HSD) для фаз в каждом кластере. n.s. означает отсутствие статистической значимости для множественных сравнений. Мы не проводили множественные сравнения для кластера 1, P1, P2 и P5, поскольку простые основные эффекты фаз или кластеров не были значительными.
Рис. 6: Кластерная средняя скорость смещения ConA. Показаны средние скорости смещения в каждой фазе (B — базовая фаза, P — игровая фаза, P1: 0–2 мин, P2: 2–4 мин, P3: 4–6 мин, P4: 6–8 мин, P5: 8–10 мин). Столбчатые диаграммы показывают среднее квадратичное отклонение скоростей смещения в каждом кластере. Значения p выше каждого столбца обозначают результат теста Тьюки (HSD) для кластеров в каждой фазе. Значения p, выровненные над панелью, обозначают результат теста Тьюки (HSD) для фаз в каждом кластере. n.s. означает отсутствие статистической значимости для множественных сравнений. Мы не проводили множественные сравнения для кластера 1, P1, P2 и P5, поскольку простые основные эффекты фаз или кластеров не были значительными.

Межкластерные различия в скорости смещения наблюдались в базовой фазе и фазе P3. Младенцы в кластерах 2 и 4 демонстрировали значительно меньшее количество спонтанных движений по сравнению с кластером 1 в базовой фазе, и только в этих двух кластерах наблюдалось значительное увеличение движений. Значительные увеличения наблюдались между BP3, BP4, BP5, P1P4 и P1P5 в кластере 2; и BP2, BP3, BP4 и BP5 в кластере 4. Стоит отметить, что во время игровой фазы значительное межкластерное различие в скорости смещения наблюдалось только в фазе P3. Межкластерные различия в базовой фазе исчезли к фазе P1 за счет увеличения (кластер 2 и 4) и уменьшения (кластер 1) количества движений конечностей. Поведенческие изменения на ранних этапах игры стали очевидными благодаря этому кластерному анализу. Эти результаты предполагают, что паттерны изменений движений конечностей младенцев в значительной степени определяются количеством спонтанных движений (см. также Рис. S1–S3). Другими словами, индивидуальные траектории поведенческих изменений развивались от состояния, уникального для каждого кластера, к состоянию, неотличимому от других. Взаимодействия с окружающей средой служат для производства схожих паттернов с уменьшенными индивидуальными различиями.

Кроме того, мы создали иллюстрации временных эволюций базового отношения и отношения смещения для всех конечностей, используя индивидуальные данные, отсортированные по кластерам и возрасту без усреднения, чтобы подчеркнуть индивидуальные различия (Рис. S4). Как и ожидалось из предыдущих анализов, кривые базового отношения были сгруппированы на основе относительных различий в поведении во время игровой фазы по сравнению с базовым уровнем, в то время как кривые скорости смещения в основном отражали базовые различия между кластерами, делая различия в игровой фазе менее очевидными.

Кластерный анализ выявил номотетические характеристики индивидуальных различий; однако индивидуальное поведение было гораздо сложнее. Динамика четырех конечностей по каждому младенцу для базового отношения и отношения смещения показана на Рис. S5 и S6 соответственно. Кривые показывали не только постепенное и монотонное увеличение, но и уменьшения и флуктуации. Примечательно, что многие младенцы демонстрировали ритмичные циклы увеличений и уменьшений во время игровых фаз. Каждое из этих динамических изменений может отражать поведенческие флуктуации индивидуальных младенцев с различными временными масштабами. Из индивидуальных данных очевидно, что кривые, демонстрирующие монотонное увеличение, как ожидалось в идеальной кривой обучения, на самом деле были довольно редкими. Кроме того, индивидуальные данные от младенцев в кластере 4 показали высокое базовое отношение (Рис. S5), в то время как фактическое количество движений, измеренное скоростью смещения (Рис. S6), не сильно отличалось от других кластеров во время игровой фазы. Это также указывает на то, что они демонстрировали меньшее количество спонтанных движений на индивидуальном уровне.

Модель динамических систем, объясняющая индивидуальные различия

В предыдущем разделе мы продемонстрировали, что младенцев можно разделить на четыре кластера на основе временной эволюции паттернов движений конечностей. Различия между каждым кластером в значительной степени зависели от количества спонтанных движений на базовом этапе. Чтобы выяснить возможный механизм, посредством которого спонтанные движения влияют на поведенческие изменения во время обучения, мы попытались воспроизвести разнообразную временную эволюцию изменений движений конечностей с помощью симуляций, основанных на модели динамических систем мобильной парадигмы 36 (см. подробное описание в разделе «Методы»).

Ур. 5 представляет собой осциллятор Ван дер Поля, который соответствует движениям конечностей младенца. Ур. 6 — это затухающий гармонический осциллятор, который представляет движения мобиля, приводимые в движение движениями конечностей. Ур. 7 создает петлю положительной обратной связи между движениями конечностей младенца и движениями мобиля: движение мобиля вызывает более энергичные движения конечностей, которые, в свою очередь, производят более интенсивные движения мобиля. Параметр a был определен как ключевой параметр, определяющий степень обучаемости младенцев 36. Различия в количестве спонтанных движений могут быть представлены собственной частотой колебаний ({mega }_{0}) в динамике движений конечностей младенца. Таким образом, мы предположили, что каждый младенец имел разное значение {mega }_{0}, определенное путем подгонки к экспериментальным данным, в то время как параметр a для обучения оставался прежним. Затем были смоделированы временные эволюции базовых отношений ConA, как показано на Рис. 7.

Смоделированные временные эволюции базовых отношений ConA. a Фактические временные эволюции (серый) и их симуляция (красный) для кластеров 1, 2, 3 и 4, расположенные снизу вверх. Собственные частоты колебаний были выбраны из равномерного распределения с диапазоном 2.8 < ω₀ < 3.3 (Кластер 1), 0.9 < ω₀ < 1.4 (Кластер 2), 1.4 < ω₀ < 1.9 (Кластер 3) и 0.3 < ω₀ < 0.8 (Кластер 4). Симуляции проводились для того же количества, что и размер каждого кластера, и усредненные симулированные временные эволюции базового отношения были рассчитаны для каждого кластера. b График по младенцам фактических и симулированных временных эволюций базового отношения для подключенной руки (ConA). Пунктирные линии на фактических данных разделяют 2- или 3-месячных младенцев в пределах кластера.
Рис. 7: Смоделированные временные эволюции базовых отношений ConA. а Фактические временные эволюции (серый) и их симуляция (красный) для кластеров 1, 2, 3 и 4, расположенные снизу вверх. Собственные частоты колебаний были выбраны из равномерного распределения с диапазоном 2.8 < {mega }_{0} < 3.3 (Кластер 1), 0.9 < {mega }_{0} < 1.4 (Кластер 2), 1.4 < {mega }_{0} < 1.9 (Кластер 3) и 0.3 < {mega }_{0} < 0.8 (Кластер 4). Симуляции проводились для того же количества, что и размер каждого кластера, и усредненные симулированные временные эволюции базового отношения были рассчитаны для каждого кластера. b График по младенцам фактических и симулированных временных эволюций базового отношения для подключенной руки (ConA). Пунктирные линии на фактических данных разделяют 2- или 3-месячных младенцев в пределах кластера.

В каждой симуляции {mega }_{0} генерировалась из равномерного распределения для каждого младенца в каждом кластере, диапазон которого составлял 2.8 < {mega }_{0} < 3.3 (Кластер 1), 0.9 < {mega }_{0} < 1.4 (Кластер 2), 1.4 < {mega }_{0} < 1.9 (Кластер 3) и 0.3 < {mega }_{0} < 0.8 (Кластер 4). Смоделированные кластерные средние временные эволюции базового отношения ConA были схожи с экспериментальными результатами. Это предполагает, что вариации во внутренней динамике спонтанных движений, несмотря на идентичные обучающие способности, были достаточны для объяснения различных паттернов поведенческих изменений.

Обсуждение

Мы исследовали индивидуальные различия в том, как маленькие младенцы изменяют движения своих конечностей при взаимодействии с подвесным мобилем для приобретения инструментальных действий. Результаты можно суммировать следующим образом:

  1. Усредненная кривая обучения для руки, подключенной к мобилю, показала общее увеличение со временем как у 2-, так и у 3-месячных младенцев, подтверждая свидетельства обучения на групповом уровне. Кроме того, 3-месячные младенцы демонстрировали более раннее увеличение движений рук во время игровой фазы по сравнению с 2-месячными младенцами на групповом уровне. Концентрируясь на вариативности данных, как начальное состояние, отражающее спонтанные движения до обучения, так и конечные состояния, представляющие инструментальные движения после обучения, демонстрировали значительные индивидуальные различия как у 2-, так и у 3-месячных младенцев.
  2. Путем кластеризации временной эволюции базового отношения младенцы были разделены на четыре кластера: без увеличения, увеличение руки, увеличение всех конечностей и большее увеличение руки. Каждый кластер включал младенцев обеих возрастных групп, и различия между кластерами не могли быть объяснены возрастными различиями в поведенческих изменениях. Важно отметить, что различия между кластерами были заметны в течение базовой фазы, но не проявлялись к концу игровой фазы. Рассматриваемые как группа, индивидуальные траектории поведенческих изменений развивались от состояния, уникального для каждого кластера, к состоянию, неотличимому от других, после обучения. Кроме того, даже в пределах одного кластера, индивидуальные траектории демонстрировали сложные изменения в течение более короткого временного масштаба.
  3. Модель динамических систем показала, что вариации во внутренней динамике спонтанных движений, несмотря на идентичные обучающие способности, были достаточны для объяснения различных паттернов поведенческих изменений. В целом, эти выводы выявляют аспект обучения как процесса, который уменьшает индивидуальные различия.

Данное исследование демонстрирует, что при анализе обучения младенцев необходимо учитывать не только различия до и после обучения, но и состояние до обучения. Традиционно критерием установления обучения определялось достижение базового отношения 1,5 3,29,30. В отличие от многих предыдущих исследований, которые измеряли количество ударов ногой, прикрепляя веревку к ноге, в данном исследовании веревка была прикреплена к руке, и использовалась система анализа движения для измерения движений 23. Тем не менее, если применить традиционный критерий обучения, это означало бы, что младенцы в Кластере 1 этого исследования — представляющие более половины всех участников — не достигли обучения. Однако эти младенцы демонстрировали уникальные характеристики, включая высокий уровень спонтанных движений до обучения и временное снижение движений сразу после начала игровой фазы. Это предполагает наличие механизмов, таких как повышенное внимание к окружающей среде и моторное торможение 38,40. Предыдущие исследования также сообщали, что младенцы с высокой начальной частотой спонтанных движений с меньшей вероятностью достигают высоких базовых отношений 32,47. С противоположной точки зрения, можно сомневаться, что наши результаты могут быть объяснены потолочным эффектом, который возникает, когда тест имеет верхний предел, и собранные данные распределены около этого предела. Однако в течение игровой фазы наблюдались существенные флуктуации движений, которые не могут быть объяснены простой моделью, где обучение монотонно увеличивается до достижения потолка. Для этих младенцев мобил, возможно, уже достаточно двигался из-за их движений конечностей, устраняя необходимость дальнейшего увеличения активности. Вместо этого они могут учиться тому, что уменьшение движений конечностей приводит к меньшему движению мобиля 4. Следовательно, было бы некорректно заключать, что младенцы в Кластере 1 не научились. В контексте мобильной парадигмы фаза угасания использовалась как процедура для изучения того, генерируется ли поведение на основе памяти путем измерения базового отношения или отношения удержания 22,48. Однако эта процедура имеет свои ограничения. Одним из основных недостатков является то, что обучение у определенного числа младенцев не может быть оценено с использованием отношения в количестве движений. Кроме того, некоторые младенцы могут быстро понять, что движения их рук больше не вызывают движения мобиля, и, следовательно, прекратят ранее освоенное поведение и запустят другое поведенческое изменение. Другими словами, нельзя исключать, что при этих измененных условиях окружающей среды может начаться новый процесс обучения. В данном исследовании мы сосредоточились на выявлении разнообразного поведения, демонстрируемого младенцами для изучения связи между их собственными движениями и изменениями окружающей среды в течение достаточно длительной игровой фазы. Поэтому мы не включали фазу угасания. В то время как классические исследования памяти с использованием мобильной парадигмы дали фундаментальные сведения 22,48, недавнее теоретическое развитие начало проливать новый свет на динамику памяти 15, и будущие исследования должны включать более детальный анализ изменений движений на более коротких временных масштабах 4 и дополнительные измерения внутреннего состояния, такие как ЭЭГ 49,50.

Было показано, что поведение младенцев, включая движения 16,26,51 и восприятие 52, претерпевает драматические изменения в возрасте от 2 до 3 месяцев. Способность различать, вызвано ли движение мобиля собственными действиями или действиями других, развивается в возрасте от 2 до 3 месяцев 40. Кроме того, паттерн мозговой активности в ответ на аудиовизуальные стимулы, генерируемые движением мобиля, претерпевает значительные изменения в возрасте от 2 до 3 месяцев 53,54. В контексте мобильной парадигмы многие исследования были сосредоточены на этом возрастном диапазоне. Однако определение возрастных групп варьируется в разных исследованиях. Например, некоторые исследования определяют 3-месячную возрастную группу как равномерно распределенную по 30 дням, в то время как другие используют более узкие возрастные диапазоны, что может привести к различным результатам. Предыдущее исследование показало, что характеристики изменений движений во время мобильных тестов у 3-4-месячных младенцев варьируются в зависимости от возрастных групп, определенных с диапазоном в 10 дней 31. В данном исследовании мы стремились отделить возрастные различия от индивидуальных различий, создав группы 2- и 3-месячных младенцев с точным распределением по возрасту в пределах 10 дней. На групповом уровне мы наблюдали возрастные различия в среднем поведении. Тем не менее, на индивидуальном уровне большая часть данных не могла быть полностью объяснена разницей в возрасте: каждый кластер включал определенное количество как 2-, так и 3-месячных младенцев. Этот результат предполагает существенные индивидуальные различия в поведенческих изменениях в обоих возрастах.

Проблемы воспроизводимости в поведенческих исследованиях зависят от таких факторов, как размер выборки и статистические методологии. Количество младенцев, участвовавших в этом исследовании (n = 279), и количество, включенное в окончательный анализ (n = 185), представляют собой значительно большую выборку по сравнению с теми, которые обычно используются в мобильной парадигме, поскольку это исследование фокусируется на индивидуальных различиях. Размер выборки также превышает средний размер выборки в 108,92 в общих исследованиях индивидуальных различий у младенцев 39. Порог статистической значимости для группового анализа в данном исследовании был установлен на уровне p = 0,0155. Кроме того, проблемы воспроизводимости могут быть тесно связаны с индивидуальными различиями, присущими субъектам, особенно младенцам. Например, существует проблема воспроизводимости в отношении того, существует ли дифференциация движений рук и ног во время мобильного теста у ранних младенцев 3. Некоторые исследования сообщали, что дифференциация движений конечностей наблюдается в возрасте 3 или 4 месяцев 23,27,45, в то время как другие исследования не показали таких доказательств 3,56. Это несоответствие, вероятно, связано с индивидуальными различиями в паттернах изменений движений конечностей. Наш кластерный анализ показал, что две трети 3-месячных младенцев не дифференцировали движения рук и ног (кластер 1 и 3), в то время как оставшаяся треть 3-месячных младенцев (кластер 2 и 4) дифференцировали их. Межкластерные различия связаны с тем, существует ли смещение в количестве спонтанных движений между руками и ногами. Учитывая индивидуальные различия в паттернах спонтанных движений, предполагается, что процесс обучения перемещению мобиля включает как возрастные различия, так и межиндивидуальные различия, и поведенческие изменения, связанные с обучением, не обязательно ограничиваются только подключенной конечностью. Набор достаточного количества младенцев в пределах ограниченного возрастного диапазона и выделение подгрупп на основе индивидуальности спонтанных движений младенцев может привести к более воспроизводимым аналитическим результатам. Понимание динамических свойств поведенческих изменений приведет к выявлению номотетических принципов, применимых к индивидуальным траекториям обучения, и даст альтернативную перспективу на проблему воспроизводимости. Кластерные анализы с различными тестами и различными возрастными группами также выявили различные траектории обучения на индивидуальном уровне, скрытые под усредненным описанием, такие как предпочтение руки от рождения до 24 месяцев 8 и созревание навыков ходьбы в течение нескольких месяцев с момента начала самостоятельной вертикальной локомоции 13. Согласуясь с нашими выводами, подгрупповые анализы в этих исследованиях показали, что первоначально разнообразные состояния постепенно сходились к схожим паттернам с уменьшенными индивидуальными различиями через взаимодействия с окружающей средой. Эта конвергенция считается номотетическим явлением в процессах обучения, и настоящее исследование далее показало, что такой сдвиг может возникнуть даже в течение короткого временного масштаба примерно 10 минут.

Мобильная парадигма является одной из немногих экспериментальных установок, применимых у маленьких детей для изучения процессов, посредством которых люди впервые взаимодействуют с окружающей средой, адаптируют свое поведение и устанавливают обучение и память 1,4,22,23,24,25. Как показали данные этого исследования, средние изменения движений у младенцев на групповом уровне увеличиваются со временем во время игры. Эта тенденция часто приводит к интерпретации обучения, наблюдаемого в этой парадигме, как простого обучения с подкреплением, где поведение монотонно увеличивается в частоте в ответ на стимулы, связанные с их действиями 57. Однако детальный анализ изменений движений на индивидуальном уровне выявил сложные паттерны, которые не могут быть полностью объяснены только подкреплением. Примечательно, что наблюдались существенные индивидуальные различия в спонтанных движениях до обучения. Недавнее исследование показало, что спонтанные движения генерируют сенсомоторную координацию даже при отсутствии специфических целей в отношении окружающей среды 58, способствуя формированию уникальных аттракторов движений у каждого младенца. Учитывая, что спонтанное формирование этих аттракторов происходит без предопределенного направления, оно, вероятно, будет демонстрировать значительное разнообразие. Однако, как только начинается взаимодействие с окружающей средой, динамика движений модифицируется для адаптации к условиям окружающей среды, потенциально приводя к уменьшению индивидуальных различий. Возникновение ритмичных и стереотипных движений в этот период развития 59,60,61 может предоставить возможности для сенсомоторной адаптации, способствуя взаимодействию с окружающей средой путем использования доступных моторных репертуаров спонтанных движений 23. Это предполагает, что индивидуальные поведенческие истории могут отражать появление разнообразных механизмов во время взаимодействия с окружающей средой. Эти механизмы могут включать исследовательское поведение во время взаимодействия 20, чувство агентности 4,40,49, подготовку к целенаправленным действиям 51 и формирование долговременной памяти 15,22. Интеграция этих механизмов составляет динамику индивидуального моторного поведения и служит определяющим фактором как выбора поведенческих стратегий 9, так и степени зрелости движений 10 на протяжении развития.

Ограничения

В данном исследовании мы сосредоточились на индивидуальных различиях в количестве движений конечностей. Однако качественный анализ траекторий движений может дополнительно прояснить индивидуальные различия в поведенческих изменениях младенцев. Методы снижения размерности, такие как PCA, а также более недавно разработанные методы, такие как UMAP 62 и tSNE 63, могут быть полезны для изучения динамической эволюции качественных паттернов. Кроме того, сообщалось, что синергии конечностей эффективны для анализа паттернов движений конечностей 41. Будущие исследования должны изучить индивидуальные различия в качественных паттернах поведенческих изменений младенцев от спонтанных к инструментальным, используя эти методы, что позволит получить дальнейшую поддержку идеи о том, что паттерны спонтанных движений тесно связаны с обучением.

Кроме того, при наших измерениях младенцы находились в незнакомой лабораторной среде и были оснащены маркерами для захвата движения для записи их движений. Эти условия могли способствовать относительно высокому показателю отсева в этом исследовании. Возможно, что количество младенцев в разных кластерах было затронуто показателем отсева. Несмотря на это, мы смогли проанализировать широкий спектр поведенческих паттернов благодаря большому размеру выборки.

Заключение

Мы продемонстрировали значительные межиндивидуальные различия в поведении младенцев при взаимодействии с окружающей средой. Эти различия отражают уникальную внутреннюю динамику спонтанных движений, которая используется для производства инструментального поведения. Данное исследование указывает на то, что выявление процесса обучения у маленьких младенцев требует анализа не только состояния после обучения, но и всей поведенческой траектории, включая состояние до обучения.

Короткие версии статей можно найти в телеграм-канале.

Посмотреть канал
Кликните еще раз для перехода

Эвисент Дрожжи Пивные с Серой 0,5г №60 - Купить

Пивные дрожжи с серой Эвисент — натуральный комплекс для здоровья кожи, волос и ногтей. Восполняет д...

Шампунь Базисный Стикс 200 мл - основа для ухода за волосами

Шампунь 'Базисный' Стикс — идеальная основа для создания индивидуального средства ухода за волосами....

Эфирное масло эвкалипта Стикс 10 мл — купить для здоровья

Эфирное масло эвкалипта Стикс — натуральный продукт из Австралии для укрепления здоровья и улучшения...

Детский крем Алиса 40 г — гипоаллергенный уход

Крем детский «Алиса» — надежное средство для ежедневного ухода за нежной кожей ребенка. Подходит для...

Сульфацил Натрия глазные капли 20% 5 мл — купить в аптеке

Глазные капли Сульфацил Натрия-Солофарм 20% — эффективное противомикробное средство для лечения инфе...

Перекись водорода 3% 100 мл — антисептик

Перекись водорода 3% во флаконе 100 мл — проверенное антисептическое средство для обработки мелких р...