Как психотерапия внутренней сплоченности улучшает самооценку и мотивацию у молодежи

Как психотерапия внутренней сплоченности улучшает самооценку и мотивацию у молодежи

Интересное сегодня

Тёмная триада личности: как распознать манипулятора и защити...

Что такое Тёмная триада личности? Если вы когда-либо чувствовали, что вами манипулируют или использу...

Как психоделики влияют на симптомы ПТСР: исследование среди ...

В уникальном исследовании, проведенном среди выживших после террористической атаки на фестивале Nova...

Связь немеланхоличной депрессии и избыточной жировой массы т...

Немеланхоличные депрессивные симптомы связаны с повышенным индексом жировой массы в исследовании ког...

Расстройства пищевого поведения в перинатальный период: диаг...

Введение Расстройства пищевого поведения (РПП) — это группа психических заболеваний, характеризующих...

Мозг футбольного фаната: как победы и поражения меняют нашу ...

Мозг футбольного фаната: как победы и поражения меняют нашу психику Новые исследования в области ней...

Дезинформация как оружие: как ложные нарративы влияют на общ...

Рост исследований дезинформации Быстрое развитие исследований дезинформации углубило наше понимание ...

figure 1
figure 1
Thumbnail 1
Оригинал исследования на сайте автора

Психотерапия внутренней сплоченности: Путь к позитивному психическому здоровью у молодежи

Позитивное психическое здоровье — это не просто отсутствие психических заболеваний; оно охватывает наличие психологического благополучия [1]. В то время как решение проблем, связанных с негативными аспектами здоровья, имеет решающее значение, сосредоточение исключительно на дефицитах может упустить из виду потенциал для развития сильных сторон и способностей индивида [2]. Развитие позитивного психического здоровья смещает акцент с простого облегчения дистресса на культивирование устойчивости, оптимизма и личностного роста. Чтобы облегчить бремя распространенных психических расстройств, новые исследования предполагают, что может быть плодотворным отслеживать и развивать позитивное психическое здоровье у людей с психическими расстройствами в дополнение к мониторингу и лечению клинических симптомов [3,4,5,6,7,8]. Этот более широкий взгляд не только снижает вероятность рецидива, но и вооружает людей инструментами для процветания в различных аспектах жизни. Психотерапия внутренней сплоченности (ICP) — это новая интегративная психотерапия, которая демонстрирует этот подход, подчеркивая, что улучшение позитивных психологических качеств и переживаний может значительно повысить общее благополучие клиента [9].

Позитивные аспекты психического здоровья и расстройства настроения

Модель двух континуумов психического здоровья постулирует, что психическое заболевание и позитивное психическое здоровье являются двумя связанными, но независимыми континуумами [7, 10,11,12]. Это означает, что человек может иметь полноценное психическое расстройство в сочетании с низким уровнем позитивного психического здоровья, но это также может означать, что человек с полноценным психическим расстройством имеет выше среднего уровень позитивного психического здоровья [12,13,14,15,16]. Позитивное психическое здоровье включает эмоциональное благополучие (чувство радости), социальное благополучие (вклад в общество и поддержание здоровых социальных отношений) и психологическое благополучие (личностный рост, самопринятие и смысл жизни) [15]. В то время как психологическое благополучие является неотъемлемой частью позитивного психического здоровья, это также отдельный конструкт, изначально разработанный [17], который выделил шесть ключевых измерений: самопринятие, позитивные отношения с другими, автономия, мастерство окружающей среды, смысл жизни и личностный рост. Оба конструкта важны для понимания благополучия, но различаются по своему концептуальному фокусу и охвату. Процветающие люди обладают высоким эмоциональным, социальным и психологическим благополучием [6, 18, 19]. Метаанализ показал, что интервенции позитивной психологии, такие как культивирование благодарности и оптимизма, значительно улучшают благосостояние и снижают депрессивные симптомы. Это предполагает, что развитие позитивного психического здоровья более полезно, чем сосредоточение исключительно на лечении психических расстройств.

Расстройства настроения являются одними из первых идентифицированных психических расстройств, и последние достижения в эпидемиологических исследованиях, основанные на диагностических рамках, таких как МКБ-10 (Международная статистическая классификация болезней и проблем, связанных со здоровьем, 10-й пересмотр) и DSM (Diagnostic and Statistical Manual of Mental Disorders - Диагностическое и статистическое руководство по психическим расстройствам), значительно улучшили наше понимание их распространенности и воздействия [20]. Например, большое депрессивное расстройство (БДР) характеризуется такими симптомами, как постоянная грусть, снижение интереса к деятельности, усталость и нарушения сна и аппетита, часто сопровождающиеся нарушением концентрации и чувством никчемности [21]. Биполярное расстройство, с другой стороны, включает чередующиеся маниакальные и депрессивные эпизоды, причем маниакальные фазы характеризуются повышенным настроением, быстрой речью и импульсивностью, в то время как депрессивные эпизоды схожи с эпизодами БДР [22].

Устойчивое депрессивное расстройство, ранее называвшееся дистимией, характеризуется хроническим сниженным настроением и энергией, сохраняющимися не менее двух лет. В отличие от этого, циклотимическое расстройство отличается циклами легких депрессивных и гипоманиакальных симптомов, которые нарушают повседневное функционирование [23]. Тревожные расстройства определяются различными симптомами, которые могут значительно затруднять повседневную жизнь, такими как постоянное беспокойство, беспокойство, усталость, трудности с концентрацией, раздражительность, мышечное напряжение и нарушения сна [21].

Эти расстройства настроения особенно распространены, особенно среди молодежи. Во всем мире БДР затрагивает около 280 миллионов человек, причем 10–20% подростков ежегодно испытывают проблемы с психическим здоровьем [24, 25]. Биполярное расстройство затрагивает около 1–2% населения, причем симптомы обычно появляются в подростковом возрасте, а риск выше у женщин [26]. Более того, значительные показатели рецидивов подчеркивают необходимость эффективной терапии, поскольку нелеченное БДР рецидивирует у 60–80% пациентов, а эпизоды биполярного расстройства часто провоцируются стрессом или несоблюдением режима лечения [26, 27]. Напротив, тревожные расстройства являются наиболее распространенным психическим заболеванием среди подростков, затрагивая 4,4% лиц в возрасте 10–14 лет и 5,5% лиц в возрасте 15–19 лет [28]. Если оставить без лечения, расстройства настроения могут значительно повлиять на социальные, академические и профессиональные показатели, часто приводя к хроническому или эпизодическому течению [29]. Таким образом, подчеркивается необходимость специализированных методов лечения, таких как психотерапия внутренней сплоченности (ICP).

Что такое психотерапия внутренней сплоченности?

ICP — это новый подход из Теории внутренней сплоченности [30]. Этот подход интегрирует устоявшиеся психологические теории и концепции, объединяя и расширяя их для более глубокого понимания и всестороннего объяснения психического здоровья. Это делает его интегративным подходом, который устраняет пробелы в неэффективности, оставленные монотерапиями [31]. Во-первых, он поддерживает биопсихосоциальную модель психопатологии [32], которая подчеркивает роль биологических, психологических и социальных факторов в развитии и поддержании психопатологии. Однако, хотя ICP признает роль биологических факторов, он в первую очередь фокусируется на областях, на которые клиент может влиять и улучшать, а именно на психологических и социальных факторах [33]. Подобно когнитивно-поведенческим подходам, ICP рассматривает как событие, так и то, как оно воспринимается (например, мыслительный процесс), как факторы, которые могут влиять на внутреннюю сплоченность. Согласно [34], большинство людей, ищущих психологическую помощь, испытывают трудности с объективным восприятием обстоятельств и склонны к искаженному мышлению, что влияет как на внутриличностные, так и на межличностные отношения. ICP следует традиции клиентоцентрированного подхода, ставя потребности и опыт клиента в центр терапии [35]. Из психоанализа он заимствует представление о том, что невысказанный или подавленный контент может вызывать трудности, делая открытое общение необходимым [36, 37]. Наконец, ICP опирается на теории динамических систем, которые подчеркивают взаимосвязанный характер человеческого функционирования в различных системах [38]. Но в отличие от подходов, фокусирующихся на одном факторе, ICP подчеркивает, что отношения между системами имеют решающее значение, так что развитие или изменение в одной области неизбежно влияет на другие [33, 39].

Этот подход рассматривает индивидов через четыре основные размерности: внутриличностную, межличностную, профессиональную и духовную. Вместе эти системы предлагают целостный взгляд на весь человеческий опыт благодаря их взаимосвязанному характеру [33, 39]. ICP использует свои системы, особенно более устоявшиеся и позитивные, для улучшения негативных симптомов или причин дистресса у клиентов. Кроме того, временной перспективе уделяется особое внимание путем рассмотрения прошлых, настоящих и будущих мыслей и эмоций. Внутриличностные отношения фокусируются на отношении индивида к самому себе. Эти отношения включают его самооценку, саморегуляцию и мотивацию. Устоявшаяся внутриличностная система характеризуется честным самообщением и самопринятием. Межличностная система, с другой стороны, включает отношения с другими, такими как семья, друзья и более широкие социальные сети. Поддерживающие и здоровые отношения с эмпатией и пониманием имеют решающее значение для этой системы. Основные аспекты профессиональной системы включают карьеру индивидов, академический уровень, жизненные цели и устремления. Цель этой системы — поддержать чувство цели путем согласования внутренних целей с профессией человека или его академическим путем. Наконец, духовная система включает поиск человеком смысла и цели в жизни, а также его религиозные (или отсутствующие) практики. Основная цель ICP — достичь внутренней сплоченности путем гармонизации отношений индивида внутри и между четырьмя системами, интегрируя его прошлый, настоящий и будущий опыт [33, 39]. Уделяя внимание этим аспектам, ICP способствует устойчивости, психологическому здоровью и сбалансированному взгляду на жизнь.

Психотерапия внутренней сплоченности и позитивное развитие молодежи

Позитивное развитие молодежи (PYD) было разработано в 1990-х годах благодаря совпадению интересов к устойчивости, сильным сторонам молодежи и гибкой природе человеческого развития [40]. PYD — это взгляд на подростковый возраст, основанный на сильных сторонах, который подчеркивает, как молодые люди могут процветать в поддерживающей среде и социальных взаимодействиях [41]. Этот взгляд является частью более широкого движения в психологии, которое фокусируется на позитивных и поддерживающих аспектах, при этом множество теорий и подходов, таких как интервенции позитивной психологии, программы, основанные на осознанности, и терапия принятия и ответственности, разделяют основные цели PYD [42,43,44]. Эти подходы показали обнадеживающие результаты в недавних испытаниях, особенно среди подростков. Два понятия, показавшие многообещающие результаты в терапии взрослых и подростков, — это концепция наилучших возможных «я» и благодарности [43]. В этом русле интервенции позитивной психологии направлены на повышение благосостояния путем обучения различным навыкам, таким как благодарность, наслаждение и адаптивные ресурсы, вместо того чтобы сосредоточиваться на стратегиях для уменьшения негативных или неадаптивных стратегий [42]. Кроме того, интервенции, основанные на осознанности, показали улучшение самоконтроля, эмоциональной регуляции и исполнительных, поведенческих и социально-эмоциональных навыков, помимо повышения субъективного благосостояния и снижения стресса, тревоги и депрессии [44]. С повышением осведомленности интервенции не только развивались дальше, но и начали интегрировать различные методы из терапии принятия и ответственности (ACT) и диалектической поведенческой терапии (DBT) [44]. Важность PYD, который стал основополагающей основой для развития молодежи, дополнительно подтверждается успехом позитивных интервенций в более общем плане. PYD показал обширные преимущества для поведенческого здоровья и развития и использовался в качестве основы для молодежных программ в странах с высоким уровнем дохода [45]. Тем не менее, его эффективность также может наблюдаться в различных социальных контекстах, таких как страны с низким или средним уровнем дохода. В частности, из 35 программ в странах с низким уровнем дохода, прошедших тщательные обзоры, 21 показала улучшения в поведении, включая злоупотребление психоактивными веществами и рискованное сексуальное поведение, а также более отдаленные показатели развития, такие как показатели здоровья и занятости, посредством интервенций PYD [46]. Аналогичным образом, исследования изучали сильные стороны молодых людей и их связь с доступными ресурсами в Косово и обнаружили, что принципы PYD соответствуют молодежи там [47, 48].

Недавние исследования продемонстрировали многообещающую связь между психотерапией внутренней сплоченности (ICP) и позитивным развитием молодежи (PYD) в поддержке молодых людей, борющихся с тревогой и депрессией [49]. Эта связь была в первую очередь замечена между внутренними активами PYD, такими как приверженность обучению и позитивная идентичность, и внутриличностными аспектами ICP, такими как мотивация и самооценка. А также внешними активами, такими как поддержка, границы и ожидания, с межличностными аспектами ICP, такими как семья, друзья и романтические отношения. Кроме того, другое исследование [39] использовало качественный подход для изучения опыта клиентов с ICP. Оно подтвердило ее эффективность в повышении психического благополучия путем усиления позитивных аспектов клиентов и оспаривания их негативных мысленных паттернов. Оба исследования подчеркивают, насколько важны сети внешней поддержки, такие как семья и сообщество, для усиления терапевтических преимуществ. Важно отметить, что основополагающие принципы ICP подчеркивают, что, хотя люди имеют некоторое влияние на свое внутреннее общение, их межличностные, профессиональные и духовные аспекты оказывают значительное влияние на их общее благополучие. Это подчеркивает важность создания поддерживающей атмосферы для полного получения преимуществ терапевтических интервенций.

Текущее исследование

Основываясь на предыдущих исследованиях, демонстрирующих связь между психотерапией внутренней сплоченности (ICP) и позитивным развитием молодежи (PYD) (например, [39, 49]), данное исследование изучает эффективность ICP в усилении трех ключевых аспектов позитивного психического здоровья у молодежи с диагностированными расстройствами настроения: мотивации, саморегуляции и самооценки. В этом исследовании используется смешанный методологический подход, включающий как количественные, так и качественные методы исследования. Оценка прогресса клиента в психотерапии с использованием дизайна «до и после вмешательства», а также тематический анализ интервью с клиентами. Это первое исследование, которое проводится в контексте исследований психотерапии в тандеме с PYD. В соответствии с предыдущими качественными выводами (например, [39, 49]), мы предполагаем, что у участников наблюдаются значительные улучшения в мотивации, саморегуляции и самооценке после вмешательства.

Метод

Участники

В исследовании приняли участие 82 клиента с клиническим диагнозом (63 женщины, 19 мужчин) из различных регионов Косово, получавших психотерапевтические услуги в клинике Empatia в Приштине. Диагнозы клиентам ставились их психотерапевтами на основании критериев DSM-5 (Диагностическое и статистическое руководство по психическим расстройствам, 5-е издание), и диагнозы включали депрессивные расстройства, тревожные расстройства, посттравматическое стрессовое расстройство (ПТСР), обсессивно-компульсивное расстройство (ОКР) и расстройство адаптации. Клиенты посетили минимум четыре сеанса ICP, независимо от того, было ли лечение полностью завершено. Среднее количество посещенных сеансов ICP составило семь, и выборка была разделена на три основные возрастные группы: от 25 до 34 лет (n = 60), от 19 до 24 лет (n = 18) и от 14 до 18 лет (n = 4). Большинство участников (n = 45) указали, что имеют степень бакалавра, а 25 заявили, что получили степень магистра или выше. Кроме того, двое участников сообщили об окончании начальной/средней школы, а десять — средней школы. При контроле по возрасту уровень образования коррелировал с возрастом участников, поскольку молодые участники, как правило, имели более низкий уровень образования, что ожидаемо для возрастной группы. Что касается статуса занятости, большинство участников работали полный рабочий день (n = 49). Семнадцать участников были безработными, тринадцать имели частичную занятость, а трое сообщили о волонтерской деятельности.

В качественном исследовании приняли участие 20 человек (15 женщин и 5 мужчин) со средним возрастом 25,68 лет (SD = 4,75). Все участники, завершившие количественный этап, были приглашены к участию в качественном компоненте, причем первые 20, предоставившие информированное согласие, были включены в выборку. Что касается образования, 14 участников имели степень бакалавра, 3 — степень магистра, а 3 — окончили среднюю школу. Чтобы обеспечить однородность психологической готовности и вовлеченности в терапевтический процесс, применялись критерии исключения, такие как тяжелые когнитивные нарушения, острые психотические симптомы или любое состояние, которое могло бы существенно ограничить способность участников участвовать во вмешательстве. Размер выборки в 20 человек был признан достаточным для проведения углубленного качественного анализа и достижения насыщения данных, в соответствии с установленными рекомендациями [50] и сопоставимыми исследованиями, изучающими процессы психотерапии [51].

Процедура

Для количественной части участники прошли оценку в начале вмешательства и после минимум четырех сеансов ICP, используя три вопросника: Опросник внутренней сплоченности, Шкала самооценки Розенберга и Краткий опросник саморегуляции. Перед каждой оценкой участникам давались инструкции по заполнению вопросников, и подчеркивалась важность предоставления честных и рефлексивных ответов. Сбор данных осуществлялся онлайн с помощью платформы sosciurvey для облегчения участия и обеспечения конфиденциальности.

Для качественного исследования с участниками было проведено одно интервью с использованием полуструктурированного протокола интервью, основанного на принципах ICP. Интервью длились около 1 часа и проходили с апреля 2022 года по март 2024 года. Два обученных психолога проводили интервью на албанском языке в тихой комнате клиники, чтобы минимизировать отвлекающие факторы и обеспечить комфортную обстановку. Перед интервью участники были проинформированы о цели исследования и своих правах, а также им был предоставлен бланк информированного согласия. После их согласия все интервью были записаны для облегчения точной транскрипции и анализа. Этическое одобрение исследования было получено от этического комитета мультидисциплинарной клиники «Empatia». Все процедуры, связанные с участием человека, проводились в соответствии с этическими стандартами комитета и принципами, изложенными в Хельсинкской декларации. Участникам был предоставлен безопасный доступ к платформам оценки, обеспечивающий конфиденциальность и защиту их ответов. На протяжении всего исследования строго соблюдались этические руководящие принципы для защиты прав и благополучия участников. Для обеспечения целостности данных и решения любых проблем или вопросов был внедрен комплексный процесс мониторинга.

Меры

В данном исследовании использовались три основных инструмента для оценки внутренней сплоченности, самооценки, саморегуляции и мотивации участников. Во-первых, Опросник внутренней сплоченности (ICQ) [38] использовался для оценки внутренней сплоченности по четырем системам (внутриличностной, межличностной, профессиональной и духовной) в рамках ICP. Он состоит из 50 пунктов, оцениваемых по 5-балльной шкале Лайкерта (0 = никогда до 4 = очень часто). Внутренняя согласованность для каждой субшкалы варьировалась от 0,73 до 0,89. Субшкала ICP использовалась для оценки мотивации клиентов. Далее, Шкала самооценки Розенберга [52] — это 10-балльная шкала, оценивающая самооценку. Участники оценивают пункты по 4-балльной шкале Лайкерта (1 = полностью не согласен до 4 = полностью согласен). RSS имеет минимальную оценку 10 и максимальную оценку 40. Во данном исследовании внутренняя согласованность составила 0,84. Краткий опросник саморегуляции (SSRQ) [53] — это самоотчетный опросник, основанный на Опроснике саморегуляции (SRQ) [54]. Эта мера использовалась для оценки саморегуляции по семи процессам. Участники оценивают пункты по 5-балльной шкале Лайкерта (1 = полностью не согласен до 5 = полностью согласен). SSRQ имеет один фактор, представляющий общую способность к саморегуляции. Внутренняя согласованность для общей шкалы составила 0,79. Наконец, для оценки перспектив участников относительно изменений во внутриличностной системе было разработано руководство для интервью, основанное на принципах психотерапии внутренней сплоченности (ICP). Руководство имело полуструктурированный формат, с вопросами, служащими гибкими подсказками, а не фиксированным сценарием, что позволяло глубже изучить опыт участников. Для отслеживания эволюции этих изменений внутриличностная система исследовалась по трем временным измерениям: прошлое, настоящее и будущее.

Статистический анализ

Три непрерывные переменные, представляющие интерес (саморегуляция, самооценка и мотивация), были измерены в двух временных точках: прошлое (до вмешательства) и настоящее (во время вмешательства) для оценки изменений во времени, на которые могло повлиять вмешательство. Для описательной статистики мы рассчитали средние значения и стандартные отклонения всех трех переменных для обеих временных точек. Чтобы изучить влияние подхода ICP на самооценку, саморегуляцию и мотивацию при контроле потенциальных смешивающих факторов (возраст, пол, образование и статус занятости), мы использовали линейные смешанные модели (LMM). Эти модели включали время (прошлое против настоящего) как фиксированный эффект, а идентификатор участника — как случайный перехват для учета повторных измерений во времени. Кроме того, возраст, пол, образование и статус занятости были включены как фиксированные эффекты. В дополнение к результатам LMM были рассчитаны размеры эффекта с использованием d Коэна (d) для количественной оценки величины изменений между прошлым и настоящим временными рамками. Значения d Коэна интерпретировались с использованием стандартных соглашений (малый: d = 0,2, средний: d = 0,5, большой: d = 0,8). Что касается качественной части, мы использовали тематический анализ данных для изучения результатов 20 интервью в соответствии с руководящими принципами [55]. Компоненты внутриличностной системы: саморегуляция, самооценка и мотивация — рассматривались как предопределенные темы в анализе. Внутри каждой темы подтемы индуктивно выводились на основе нарративов участников, в результате чего получалось две подтемы на каждую основную тему, которые отражали специфические способы, которыми терапия влияла на эти аспекты внутриличностной системы. Процесс кодирования проводился вручную двумя независимыми исследователями. Каждый из них начал с кодирования данных отдельно, после чего они сравнили, уточнили и согласовали темы для обеспечения единообразия. Велся аудиторский след для фиксации решений по кодированию, развития тем и рефлексии на протяжении всего процесса. Насыщение данных было признано достигнутым, когда новые коды или подтемы не появлялись, что произошло к 18-му интервью.

Результаты

В этом разделе рассматриваются последствия психотерапии внутренней сплоченности (ICP) для трех внутриличностных измерений. Мы разделили наши выводы на три подраздела: саморегуляция, самооценка и мотивация. Каждый подраздел включает количественные результаты, полученные из LMM, и качественные инсайты из тематического анализа интервью с клиентами относительно воздействия терапии.

Рост саморегуляции после лечения ICP

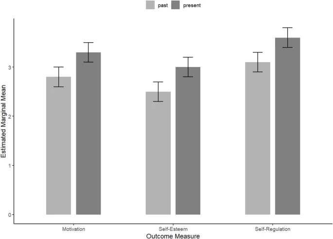
Линейная смешанная модель использовалась для изучения изменений в саморегуляции от прошлого к настоящему при контроле пола, возраста, образования и статуса занятости. Результаты показали значительное влияние времени, причем баллы саморегуляции участников были выше в настоящем состоянии по сравнению с прошлым (b = 0,47, SE = 0,07, t(81) = 6,74, p < 0,001) (Таблица 1). Размер эффекта был средним (d = 0,58), что указывает на то, что эти факторы не повлияли на увеличение саморегуляции с течением времени (Таблица 1).

Таблица 1. Результаты парного t-теста, сравнивающие до- и пост-интервенционные баллы по саморегуляции, самооценке и мотивации
Переменная Среднее (прошлое) Стандартное отклонение (прошлое) Среднее (настоящее) Стандартное отклонение (настоящее) t df p d
Саморегуляция 17.83 4.89 20.56 4.30 6.74 81 <0.001 0.58
Самооценка 23.65 5.60 26.48 5.12 5.80 81 <0.001 0.51
Мотивация 21.77 5.23 26.99 4.85 5.87 81 <0.001 0.74

Кроме того, заметные улучшения в саморегуляции дополнительно иллюстрируются через заявления участников (Таблица 2), которые проявлялись в двух взаимосвязанных подтемах: усиленная когнитивная гибкость и межличностные достижения. Изначально участники описывали, что стали более гибкими в своем мышлении, пересматривали жесткие убеждения и принимали новые точки зрения. Например, AS размышлял об этом процессе, делясь: «Через терапию я понял, что жизнь не всегда хороша, нужно сталкиваться с плохими/негативными сторонами и всегда учиться/извлекать что-то из этого опыта. Многие понятия, например, у меня были искаженные представления, но через процесс терапии я углубился, понял, что и восприятие, и мое мнение могут меняться, и я могу менять эти мысли о себе». Аналогично, RH описал преодоление страхов через изменение точки зрения, объясняя: «Раньше я иначе смотрел на свободу, поскольку был поглощен во всех аспектах и боялся столкнуться с ней. Психотерапия открыла мне глаза, помогла понять, что страх не исчезает просто так, но его можно понять, принять и постепенно минимизировать путем постоянных усилий и действий». Эти размышления иллюстрируют, как участники развивали большую адаптивность и устойчивость, обретая больший контроль над своим мышлением.

Этот сдвиг в мышлении также оказал заметное влияние на межличностное функционирование, особенно в области общения и управления конфликтами. EH объяснил: «Конечно, я могу управлять различными ситуациями лучше, чем раньше. По крайней мере, мне удалось решить свои собственные проблемы. В последнее время препятствия, которые у меня были с общением, стали легче, чем раньше». В том же духе EQVS описал, что стал менее импульсивным и более рефлексивным, заявив: «В молодости я был более импульсивным, но психотерапия помогла мне уделять время размышлениям, что успокаивает меня и дает мне мужество принимать решения. Хотя я по-прежнему не люблю отказы, я минимизировал их влияние и учусь управлять этим чувством. Даже в конфликтах я теперь размышляю и сужу на основе того, что кажется здоровым. Я также стал менее чувствительным, потому что раньше я был чрезмерно чувствителен, но теперь я понимаю это и лучше управляю этим». Вместе эти нарративы демонстрируют, как улучшенная эмоциональная регуляция приводит к более адаптивным способам мышления и отношения к другим.

Таблица 2. Тематический анализ внутриличностной системы после психотерапии внутренней сплоченности
Основная тема Подтемы Цитаты
Саморегуляция Усиленная когнитивная гибкость «Через терапию я понял, что жизнь не всегда хороша, нужно сталкиваться с плохими/негативными сторонами и всегда учиться/извлекать что-то из этого опыта... мое мнение может меняться, и я могу менять эти мысли о себе». (AS)
«Психотерапия открыла мне глаза, помогла понять, что страх не исчезает просто так, но его можно понять, принять и постепенно минимизировать путем постоянных усилий и действий». (RH)
Межличностные достижения «Конечно, я могу управлять различными ситуациями лучше, чем раньше. По крайней мере, мне удалось решить свои собственные проблемы. В последнее время препятствия, которые у меня были с общением, стали легче, чем раньше». (EH)
«Я также стал менее чувствительным, потому что раньше я был чрезмерно чувствителен, но теперь я понимаю это и лучше управляю этим». (EQVS)
Самооценка Расширение возможностей «Каждый раз, когда я ухожу с сеанса и до следующего, я полон позитивной энергии и уверенности, такое ощущение, что весь мир мой». (AH)
Сбалансированное самовосприятие «Теперь я начал больше ценить себя и смотреть на себя в лучшем свете. Не ставить себя на пьедестал и видеть то, чем я не являюсь, но я начал смотреть на себя более приземленно». (AS)
«С детства моя самооценка была очень низкой, потому что мне не разрешали свободно выражать свои мысли, оставляя меня без уверенности в достижении чего-либо. Теперь, однако, я пришел к пониманию, что я ценен, независимо от обстоятельств». (AGDK)
Мотивация Возобновленное стремление «До терапии я переживал трудные времена, отмеченные низкой мотивацией. Однако теперь терапия изменила мою жизнь, усилив мое желание заниматься новыми видами деятельности и задачами». (AGGS)
Выход за пределы зоны комфорта «Психотерапия помогла мне чувствовать себя более мотивированным и принимать решения относительно конкретных ситуаций, потому что раньше я испытывал трудности, оставаясь в своей зоне комфорта». (VSRH)
«Я всегда хотел оставаться в своей зоне комфорта, но психотерапия помогла мне стать более смелым в выражении своих мыслей и побудила меня изменить свой распорядок дня». (ASVS)

Повышение самооценки после лечения ICP

Аналогично саморегуляции, линейная смешанная модель выявила значительное улучшение самооценки от прошлого к настоящему (b = 0,41, SE = 0,07, t(81) = 5,80, p < 0,001). Размер эффекта был средним (d = 0,51), что указывает на клинически значимое улучшение. Кроме того, эти статистические выводы подкреплены качественными инсайтами, которые представляют собой реальный опыт изменений самооценки, проявляющийся в двух взаимосвязанных подтемах: расширение возможностей и сбалансированное самовосприятие. Первый аспект, расширение возможностей, отражает возросшее чувство уверенности, агентности и мотивации, которые испытывали участники после терапии. AH, например, описал эту трансформацию, делясь: «Каждый раз, когда я ухожу с сеанса и до следующего, я полон позитивной энергии и уверенности, такое ощущение, что весь мир мой». Это заявление иллюстрирует, как терапия активно помогала клиентам чувствовать себя компетентными и энергичными, укрепляя их веру в свою способность действовать и справляться с трудностями.

Наряду с этим растущим чувством расширения возможностей, участники также развили более сбалансированное самовосприятие, обретя обоснованное, реалистичное и эмоционально осведомленное понимание себя. AS подчеркнул этот сдвиг, заявив: «Теперь я начал больше ценить себя и смотреть на себя в лучшем свете. Не ставить себя на пьедестал и видеть то, чем я не являюсь, но я начал смотреть на себя более приземленно. Терапия помогла мне понять мой потенциал, который я не использовал в прошлом. Конечно, терапия помогла мне соприкоснуться со своей эмоциональной стороной и понять, что у меня есть потенциал/способности чувствовать кого-то». Аналогичным образом, AGDK размышлял о преодолении истории низкой самооценки, отмечая: «С детства моя самооценка была очень низкой, потому что мне не разрешали свободно выражать свои мысли, оставляя меня без уверенности в достижении чего-либо. Теперь, однако, я пришел к пониманию, что я ценен, независимо от обстоятельств». Эти нарративы указывают на то, как ICP восстанавливает самооценку, расширяя возможности и помогая клиентам признать свою ценность.

Повышение мотивации после лечения ICP

При изучении мотивации участники снова продемонстрировали статистически значимое увеличение баллов в настоящем периоде по сравнению с прошлым (b = 0,80, SE = 0,14, t(81) = 5,87, p < 0,001). Размер эффекта был большим (d = 0,74), что указывает на значительное улучшение. Кроме того, это улучшение отражено в заявлениях участников через два взаимосвязанных аспекта: возобновленное стремление и выход за пределы комфорта. Они подчеркнули, как терапия возродила их энергию для достижения личных и профессиональных целей. Например, AGGS поделился: «До терапии я переживал трудные времена, отмеченные низкой мотивацией. Однако теперь терапия изменила мою жизнь, усилив мое желание заниматься новыми видами деятельности и задачами». Этот нарратив дополняет количественные выводы, подчеркивая, как ICP подтверждает вовлеченность клиента в повседневную жизнь. В то же время мотивация выражалась и через смелость выйти за пределы зоны комфорта. VSRH объяснил: «Психотерапия помогла мне чувствовать себя более мотивированным и принимать решения относительно конкретных ситуаций, потому что раньше я испытывал трудности, оставаясь в своей зоне комфорта». Соответственно, ASVS заявил: «Я всегда хотел оставаться в своей зоне комфорта, но психотерапия помогла мне стать более смелым в выражении своих мыслей и побудила меня изменить свой распорядок дня». Эти размышления иллюстрируют, как мотивация была укреплена не только возрожденной энергией, но и большей готовностью принять перемены и предпринять проактивные шаги за пределами зоны комфорта.

Рис. 1. Оценочные средние мотивации, самооценки и саморегуляции в прошлом и настоящем, с контролем демографических переменных. Полосы ошибок представляют 95% доверительные интервалы.

Обсуждение

Данное исследование изучало эффективность психотерапии внутренней сплоченности (ICP) в усилении внутриличностного функционирования молодых клиентов, в частности их саморегуляции, самооценки и мотивации, используя как качественные, так и количественные меры. В то время как предыдущие исследования подчеркивали роль ICP в облегчении симптомов тревоги и депрессии [34, 38], данное исследование занимает позицию, основанную на сильных сторонах. Результаты указывают на значительные улучшения по всем трем измерениям после лечения, подчеркивая позитивное влияние ICP. Это первое исследование, которое объединяет как качественные, так и количественные доказательства, демонстрирующие, что ICP укрепляет саморегуляцию, повышает мотивацию и способствует адаптивной самооценке, предоставляя эмпирическую поддержку ее роли в построении внутриличностной устойчивости. Эти внутриличностные улучшения могут быть объяснены некоторыми терапевтическими техниками, используемыми во время сеанса ICP. Несколько техник нацелены на саморегуляцию, такие как ведение дневника временной осведомленности, дневники эмоций и исследование функциональных сценариев, которые помогают клиентам отслеживать свои эмоции, распознавать закономерности и репетировать адаптивные реакции. Для самооценки техники, такие как честное внутриличностное общение, списки оценки сильных сторон и списки рефлексии достижений, побуждают клиентов противостоять самокритичным мыслям, одновременно укрепляя позитивные самовосприятия. Мотивация поддерживается такими техниками, как видение с временными рамками, новые вызовы и оценка «да или нет» с целью, которые направляют клиентов в постановке реалистичных целей, принятии решений и поддержании приверженности личностному росту. Дополнительные стратегии, включая нарративную реконструкцию, множественные рефлексии и психообразование, интегрируют эти процессы, помогая клиентам переосмысливать прошлый опыт и приобретать навыки для будущих вызовов. Важно отметить, что ICP также включает многочисленные техники, которые явно не категоризированы для какой-либо одной системы или проблемы; скорее, они применяются гибко в зависимости от потребностей клиента, терапевтических целей и динамического взаимодействия между системами. Интегрируя различные техники в рамках систем ICP, терапевты позволяют клиентам активировать существующие сильные стороны и трансформировать неадаптивные паттерны [35, 39]. Следуя логике динамических и двунаправленных отношений между системами [56], эти существенные изменения во внутриличностных системах имеют множество преимуществ для жизни клиента, включая его межличностные и профессиональные отношения.

Предыдущие исследования показали, что эти ключевые психологические факторы могут быть улучшены различными психотерапевтическими подходами, что соответствует нашим результатам. Например, с помощью терапии самосистемы, которая включает конкретные стратегии и управляемое психообразование, направленное на аспекты продвижения и профилактики, люди могут улучшить проблемы, связанные с саморегуляцией [57]. Кроме того, два различных систематических обзора выявили, что терапии, основанные на самосострадании, включая интервенции, основанные на осознанности [58], и социально-когнитивные интервенции [59], значительно улучшили саморегуляцию и ее компоненты. Кроме того, психотерапевтические подходы к расстройствам пищевого поведения показали улучшение самооценки больше, чем в контрольных группах [60]. Наконец, подчеркивая внешние факторы, которые проще реализовать, чем внутренние, мотивационная психотерапия продемонстрировала эффективность в повышении мотивации клиентов [61]. Эти подходы, ориентированные на отдельные измерения внутриличностной системы, по-видимому, эффективны преимущественно в этом аспекте, в то время как ICP использует более интегративный подход, направленный на улучшение множества измерений, используя сильные и слабые стороны клиента в конкретных измерениях для достижения этой цели.

Традиционные и монотерапевтические подходы, как правило, ценят снижение негативных симптомов, повышение качества жизни и достижение личных целей с точки зрения пациента; они, как правило, упускают из виду важность эффективных механизмов преодоления и личных сильных сторон для предотвращения рецидивов [62]. Напротив, интеграция принципов позитивного развития молодежи (PYD) в такие подходы, как психотерапия внутренней сплоченности (ICP), показала повышение психологического благополучия клиентов за счет укрепления позитивных измерений при одновременном снижении негативных симптомов. Это было видно в качественных результатах данного исследования, где участники сообщили, что их негативное психическое состояние, вызванное низкой мотивацией или самооценкой, значительно улучшилось после сеансов ICP и стало позитивным аспектом функционирования. Как показали клиенты, улучшенные и более качественные внутриличностные отношения сопровождались лучшими межличностными и профессиональными отношениями. Следуя рациональному объяснению с точки зрения клиента, когда клиенты улучшали свою саморегуляцию, они лучше понимали потребности других, обладали более высоким уровнем эмпатии и лучшим общением, что привело к лучшей социальной интеграции или межличностным отношениям. Эти результаты подтверждаются другими исследованиями, которые показали, что повышение навыков саморегуляции связано с увеличением учебного времени, лучшими академическими целями, более высокой самодисциплиной и самомотивацией, более адаптивным управлением стрессом и организацией труда [63].

Кроме того, более высокая мотивация и самооценка были связаны с лучшей академической успеваемостью, демонстрируя двунаправленную связь и потенциальный путь для вмешательства путем сосредоточения на позитивных аспектах, а не только на негативных сторонах функционирования. Например, существуют другие исследования, поддерживающие идею сосредоточения на позитивных аспектах функционирования, которые показали, что большая мотивация связана со снижением депрессии через год. В частности, молодые люди с позитивным мотивационным отношением были защищены от депрессивных симптомов, и те, кто был высоко мотивирован, реже проявляли признаки дискомфорта [64]. Аналогичным образом, значительное улучшение самооценки, наблюдаемое в данном исследовании, соответствует предыдущим исследованиям, таким как [65], которые указывают на то, что высокое чувство собственного достоинства приводит к большему счастью, возможно, за счет уменьшения негативных последствий стресса, хотя причинно-следственная связь не была окончательно установлена.

Хотя результаты предоставляют убедительные доказательства эффективности ICP в снижении симптомов депрессии и тревоги, следует учитывать некоторые ограничения, включая выборку, демографическое распределение, а также качественный и поперечный характер исследования. Следует тщательно рассмотреть потенциальное влияние самоотбора участников. Лица, решившие принять участие в исследовании, могут систематически отличаться от тех, кто не принял. Например, они могли быть более мотивированы, более вовлечены в терапию или иметь более сильные мнения относительно своего опыта. В результате это может ограничить обобщаемость результатов, поскольку выборка может не полностью представлять более широкую популяцию. В том же духе, другим аспектом этого исследования, который может повлиять на обобщаемость, является демографическое распределение, где соотношение женщин к мужчинам было выше. Этот дисбаланс мог повлиять на результаты, хотя существующая литература по гендерным различиям в психотерапии неоднозначна. Некоторые исследования сообщают о существенных различиях, в то время как другие предполагают, что учет гендерной динамики в терапевтических процессах может принести положительные результаты [66, 67]. Учитывая эту неопределенность, преобладание участников женского пола следует признать фактором, который может ограничить внешнюю валидность результатов. Другим ключевым ограничением является присущая субъективность качественных результатов, которая может привести к интерпретационным смещениям. Однако это ограничение частично смягчается включением количественных данных, которые предоставляют более объективные доказательства наблюдаемых изменений. Вместе сочетание качественных и количественных подходов обеспечивает более полное понимание изучаемых явлений, уравновешивая глубину понимания с эмпирической строгостью. Последнее ограничение данного исследования — отсутствие продольных данных, которые помогли бы понять, устойчивы ли эффекты психотерапии с течением времени. Это ограничение может стать предметом будущих исследований, изучающих ICP или аналогичные вмешательства. Основываясь на этих ограничениях, будущие исследования могли бы изучить ICP или аналогичные вмешательства, а также то, как подходы PYD влияют на психическое здоровье различных молодежных популяций. В частности, исследования должны стремиться к более гендерно сбалансированным выборкам, чтобы прояснить, влияют ли потенциальные гендерные динамики на эффективность ICP. Могут быть проведены рандомизированные контролируемые исследования (РКИ) и сравнительные исследования с другими терапевтическими подходами для дальнейшей оценки и повышения эффективности ICP.

Заключение

Данное исследование предоставляет доказательства того, что психотерапия внутренней сплоченности (ICP) значительно улучшает саморегуляцию, самооценку и мотивацию у молодежи с расстройствами настроения, что соответствует предыдущим исследованиям, посвященным терапевтическим подходам, основанным на сильных сторонах. Интегрируя принципы позитивного развития молодежи (PYD), ICP подчеркивает важность холистического подхода к вмешательствам в области психического здоровья, фокусируясь на множестве аспектов функционирования. Опыт участников выявил улучшенные межличностные и профессиональные отношения, возросшее самосознание и улучшенные механизмы преодоления. Будущие исследования должны изучить устойчивость этих результатов и более широкую применимость ICP в различных условиях и среди других диагнозов. Эти выводы подтверждают важность переосмысления психотерапии, включая позитивное развитие как основную цель, предлагая трансформационный подход к психическому здоровью.

Короткие версии статей можно найти в телеграм-канале.

Посмотреть канал
Кликните еще раз для перехода

Марлевые стерильные салфетки Нью Лайф 16х14 см №10

Стерильные двухслойные марлевые салфетки Нью Лайф размером 16х14 см в упаковке №10. Идеальны для пер...

Пеха-Хафт бинт эластичный 6смх4м белый купить

Эластичный самофиксирующийся бинт Пеха-Хафт 6смх4м обеспечивает надежную фиксацию благодаря когезивн...

Компрессионные гольфы Релаксан 140Den для мужчин - лечение в...

Компрессионные гольфы Релаксан Cottonsocks 140Den для мужчин черные размер 5. Эффективная поддержка ...

Теймурова паста 50 г для наружного применения

Теймурова паста для наружного применения 50 г — комбинированное средство с антисептическим, подсушив...

Масло Веледа для младенцев с календулой 200 мл

Масло Веледа с календулой разработано специально для ухода за нежной кожей младенцев. Не содержит эф...

Триакорт мазь 0.1% 10г – при воспалении и зуде кожи

Триакорт мазь 0.1% для наружного применения эффективно снимает воспаление, зуд и аллергические прояв...