
Интересное сегодня
Эксперимент Джона Мани с близнецами Реймер: как воспитание в...
Эксперимент Джона Мани: близнецы Реймер Эксперимент Джона Мани включал в себя историю Дэвида Реймера...
Multimorbidity of Mental Health and Substance Use Disorders ...
Введение Множество исследований показали, что психические расстройства (ПР) и расстройства, связанны...
Связь сенсорной гиперчувствительности и аутистических черт у...
Введение Расстройство аутистического спектра (РАС) — это нейроразвивающееся состояние, характеризующ...
Совместное принятие решений в детской и подростковой психиат...
Введение Совместное принятие решений (СПР, SDM — Shared Decision Making) в здравоохранении представл...
Исследование переносимости, безопасности и слепого метода в ...
Введение Транскраниальная электрическая стимуляция (тЭС) быстро становится перспективным нейронаучн...
Как интегрировать ценности в систему оценки персонала: приме...
Введение Ценности и их практическое воплощение играют ключевую роль в профессиональной деятельности....
Введение: формирование речевых способностей начинается до рождения
Траектории языкового развития находятся под влиянием как генетических, так и средовых факторов. Семейные исследования и исследования близнецов предоставили доказательства того, что нарушения языкового развития и чтения обладают высокой наследуемостью. Генетические влияния выходят за рамки патологических состояний, поскольку наследуемость также наблюдалась при нормативном языковом развитии для различных способностей, включая чтение, правописание, фонологию, синтаксис и артикуляцию.
Количество языковой стимуляции и воздействия в детстве также, как было показано, влияет на развитие языковых навыков. Гены и окружающая среда, вероятно, влияют на языковое развитие косвенно, формируя структурные и функциональные сети мозга, которые, в свою очередь, формируют когнитивные и поведенческие профили в раннем младенчестве и детстве.
Множество доказательств указывает на то, что влияние генетических факторов и факторов окружающей среды на функциональную связность внутри слуховой и языковой сети начинается уже на стадии плода. Поведенческие наблюдения и нейровизуализационные исследования у новорожденных позволяют предположить, что пренатальное воздействие слуховых и речевых стимулов может формировать послеродовые реакции мозга и поведения младенцев, включая способности восприятия речи и усвоения языка.
Новые возможности пренатальной нейровизуализации
Недавние достижения в области многомодальной нейровизуализации плода значительно расширили наши возможности для прямого исследования пренатального развития мозга. Развитие периферических и подкорковых структур мозга, формирующих слуховые пути, начинается в первом триместре беременности и приближается к созреванию у доношенных плодов.
Ответ мозга плода на звуки регистрировался в слуховой коре с помощью магнитоэнцефалографии уже на 27-й неделе гестации и на протяжении всего третьего триместра беременности. Корковая складчатость и извилистость перисильвиевых областей начинаются примерно на 20-й неделе гестации и претерпевают значительный рост между 24-й и 36-й неделями.
Структурные связи между слуховыми и перисильвиевыми областями, также затрагивающие подкорковые релейные ядра (например, таламус, базальные ганглии), можно обнаружить уже на 26-й неделе гестации, причем полное созревание происходит только в первые годы после рождения.
Материалы и методы исследования
Участники исследования
В исследовании приняли участие двадцать пять беременных женщин. Они были набраны в больнице Сан-Раффаэле в Милане, Италия, во время планового наблюдения за беременностью. Критерии включения были следующими: здоровые плоды в поздний фетальный период, который характеризуется значительными структурными и функциональными изменениями в организации мозговых связей; нормальная анатомия и рост плода, оцененные с помощью ультразвукового исследования плода; низкий риск серьезных хромосомных нарушений.
Все плоды впоследствии родились в срок, без осложнений, имели нормальную неонатологическую оценку при рождении и не имели серьезных проблем со здоровьем в первый год послеродовой жизни. Окончательная выборка включала 25 плодов (13 мужского пола, 12 женского пола). Средний гестационный возраст плодов на момент сеанса МРТ составлял 32,5 недели.
Анкета семейного анамнеза
Анкета семейного анамнеза — это инструмент отчетов родителей, предназначенный для сбора комплексной информации о рисках ребенка в отношении нарушений развития речи и обучения на основе семейных факторов и факторов пренатального воздействия. Анкета состоит из двух основных частей: первая часть включала три основных раздела:
- Общая информация — предоставляет общую информацию о ребенке и нуклеарной семье, образовательном и социально-экономическом статусе родителей, а также послеродовом воздействии на ребенка моно- или многоязычных контекстов.
- Семейная предрасположенность к языковым трудностям — исследует семейную предрасположенность ребенка к нейроразвивающим языковым слабостям.
- Семейная предрасположенность к языковым нарушениям — дополнительно исследует семейную предрасположенность ребенка к нейроразвивающим языковым нарушениям.
Оценка послеродового поведения
Языковые навыки детей оценивались нейропсихологом по шкале развития Бейли-III для младенцев и детей младшего возраста. Шкала Бейли-III измеряет функциональное развитие детей в возрасте от 1 до 42 месяцев в различных областях, включая язык. Для целей данного исследования мы использовали скорректированные по возрасту общие языковые баллы, вычисленные как сумма экспрессивных и рецептивных языковых баллов, полученных по языковой шкале Бейли-III.
Результаты: ключевые находки исследования
Выявление функциональных сетей мозга плода
Иерархический кластерный анализ выявил наличие унилатеральной слухоречевой сети в обоих полушариях мозга плода. Эта сеть включала подкорково-корковые релейные ядра (таламус, скорлупу, хвостатое ядро), области в слуховых корах (извилину Гешля, верхнюю и среднюю височные извилины), сенсомоторные коры (роландову покрышку) и primordial языковые области в слуховых корах (нижнюю лобную извилину, островок, верхний височный полюс).
Функциональные сети, поддерживающие слуховую и языковую обработку, уже установлены между 27 и 35 неделями гестации.
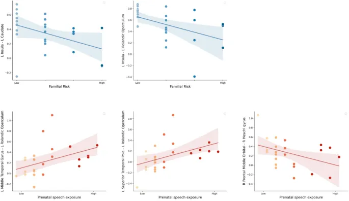
Влияние наследственного риска на connectivity мозга
Наследственный риск отрицательно коррелировал с функциональной связностью в соединениях «левый островок — левая роландова покрышка» и «левый островок — левое хвостатое ядро». Эти эффекты также были значимы в модели частичной корреляции, в которой пренатальное речевое воздействие и пренатальное воздействие шума были введены как мешающие переменные.
Влияние речевого воздействия на connectivity мозга
Показатель пренатального речевого воздействия положительно коррелировал с функциональной связностью в двух соединениях: «левая роландова покрышка — левая средняя височная извилина» и «левая роландова покрышка — левый верхний височный полюс». Также наблюдалась отрицательная корреляция в соединении «правая орбитальная средняя лобная извилина — правая извилина Гешля».
Таким образом, плоды, подвергшиеся большему количеству речевых стимулов, развили более сильную функциональную связность между областями левой слухоречевой сети и более слабую связность между областями правого полушария.
Прогнозирование языкового развития
Два показателя функциональной связности, связанные с «наследственным риском», и три показателя, связанные с «пренатальным речевым воздействием», были введены в качестве объясняющих переменных в пошаговую регрессионную модель для выявления прогностических отношений с послеродовыми результатами по языковой шкале Бейли-III.
Из пяти объясняющих переменных две учитывали значительные эффекты. Первой переменной было соединение «наследственного риска» «левый островок — левая роландова покрышка», которое объяснило 16,88% дисперсии в общих составных результатах по языковой шкале Бейли-III.
Пошаговое добавление соединения «наследственного риска» «левый островок — левое хвостатое ядро» улучшило объясняющую способность модели, составив 33,78% дисперсии. В окончательной пошаговой модели, включающей оба соединения, соединение «левый островок — левая роландова покрышка» имело значительную положительную связь с общими составными результатами по языковой шкале Бейли-III.
Ключевая роль островка мозга
Особый интерес представляет тот факт, что среди множества областей интереса и соединений, включенных в наши анализы, связность островка emerged как последовательный предиктор языковых исходов. Островковая кора достигает созревания примерно на 30-й неделе гестации и устанавливает обширную схему связей как с подкорковыми структурами, так и со всеми основными местами обработки новой коры.
Функционально, в течение позднего фетального периода, островок, наряду с сенсомоторными корками, действует как главный функциональный хаб, запускающий распространение транзиторной взрывной активности и лежащий в основе созревания крупномасштабных сетей мозга.
Островковая функциональная сеть представляет собой особенно чувствительный прокси для обнаружения влияния семейных факторов и факторов окружающей среды на пренатальной стадии развития.
Выводы и перспективы дальнейших исследований
Настоящее исследование представляет собой первую попытку связать семейные факторы и факторы пренатального воздействия с функциональной связностью плода и траекториями послеродового языкового развития. Мы показали, что более высокое воздействие речевых стимулов во время беременности связано с более сильной пренатальной функциональной связностью между областями левой слухоречевой сети.
Кроме того, мы показали, что семейная отягощенность по языковым нарушениям связана с более низкой функциональной связностью между левым хвостатым ядром и островком, а также между левым островком и роландовой покрышкой. Функциональная связность в этих соединениях, в свою очередь, связана с исходами языкового развития в раннем детстве.
Эти результаты обнадеживают и поддерживают идею о том, что пренатальная функциональная связность, пренатальное речевое воздействие и переменные семейного риска могут служить потенциальными маркерами для прогнозирования ранних траекторий языкового развития и нарушений.
Ограничения исследования
Важным ограничением этого исследования является относительно небольшой размер выборки. Хотя эти результаты предлагают ценные insights в раннее развитие мозга и языка, обобщаемость на более широкую популяцию может быть ограничена. Для подтверждения потребуются будущие исследования на больших выборках.
Еще одним ограничением является ограниченная изменчивость, наблюдавшаяся в баллах Анкеты семейного анамнеза, которые были относительно смещены в сторону более низких значений как для семейного риска, так и для пренатального речевого воздействия. Это, вероятно, отражает распространенность этих черт в общей популяции, поскольку наша выборка не набиралась selectively на основе этих факторов.
Будущие исследования могут также воспользоваться преимуществами более детальной характеристики пренатальных переменных окружающей среды, собрав более комплексные данные о типе, количестве и частоте слуховой и речевой стимуляции, которая достигает плода во время беременности.