
Интересное сегодня
Кросс-культурная согласованность запоминаемости изображений:...
Введение в концепцию запоминаемости изображений Люди запоминают одни изображения лучше, чем другие. ...
Как биофильный дизайн влияет на благополучие сотрудников: Ис...
Введение Сотрудники в офисах open-plan часто сталкиваются с отвлекающими факторами, некооперативным ...
Игровое время и импульсивность как независимые, но взаимодоп...
Введение Гейминг стал популярным времяпрепровождением, с более чем 3 миллиардами геймеров по всему м...
Как научиться долгосрочному финансовому планированию
Введение Эксперт в области личных финансов Дейв Рэмси широко известен своим изречением: "Если вы буд...
Как уровень образования влияет на глобальное снижение рождае...
Глобальные изменения рождаемости и роль образованияС момента принятия 17 Целей устойчивого развития ...
ИИ в аналитической химии: Прогнозирование химического состав...
Введение Искусственный интеллект (ИИ) и машинное обучение преобразуют множество индустрий, выступая ...
Влияние высоты и острой горной болезни на эмоциональное состояние альпинистов-любителей
В настоящее время наблюдается значительный рост числа людей, занимающихся такими видами деятельности, как альпинизм и пеший туризм в высокогорных районах. Значительная часть этих людей впервые ventured в высокогорные районы и не имела prior опыта спортивной деятельности на больших высотах. Более того, высокогорные районы представляют собой среду с пониженным давлением, и на высотах, превышающих 2500 метров, могут происходить различные физиологические и психологические изменения. Учитывая combined влияние множества факторов, занятие outdoor деятельностью впервые в высокогорных районах poses множество рисков.
Введение в проблему высокогорья
В высокогорных районах воздействие природной среды на организм человека multifaceted, охватывая такие факторы, как низкое атмосферное давление, низкое парциальное давление кислорода и холод. Notably, снижение атмосферного давления приводит к заметной low-oxygen среде, причем физиологические, биохимические и adaptive изменения в организме человека становятся все более очевидными на высотах, превышающих 2500 метров. Занятия спортом в plateau регионах, характеризующихся низким давлением и low oxygen, представляют two distinct challenges по сравнению с равнинами: low-oxygen нагрузка, связанная с физическими упражнениями, и low-oxygen нагрузка, специфичная для высокогорных сред. Эти challenges prompt physiological привыкание и адаптацию within различных систем организма, включая дыхание и кровообращение.
В этот период организм регулируется neuroendocrine системой через series компенсаторных adaptive изменений, которые включают hypoxic ventilatory response, diuretic response и физиологические и биохимические изменения. К ним относятся hypoxic ventilatory responses, diuresis, увеличение cardiac output, улучшение oxygen-bearing capacity и cerebral blood flow, и стабилизация hypoxiainducible factor 1α (HIF1α). Однако individuals, которые быстро поднимаются на высоту 2500 метров или выше без акклиматизации, подвержены риску развития Острой Горной Болезни (ОГБ), которая может прогрессировать до опасных для жизни состояний, таких как high-altitude cerebral edema (отек мозга) и high-altitude pulmonary edema (отек легких).
Симптомы и факторы риска острой горной болезни
Наиболее распространенным симптомом ОГБ является головная боль, которая сопровождается gastrointestinal симптомами (тошнота/рвота/плохой аппетит), усталостью и головокружением. Факторы, влияющие на ОГБ, включают rapid ascent, обезвоживание, употребление алкоголя, респираторные инфекции и индивидуальную восприимчивость. Воздействие больших высот, содержание кислорода и environmental факторы в высокогорных районах также могут lead к тревоге, депрессии, гневу, усталости и другим emotional проблемам, которые могут способствовать несчастным случаям и fatalities.
Методология исследования
Участники исследования
В исследовании приняли участие десять альпинистов-любителей со средним возрастом 22,7 ± 1,34 года, весом 65,7 ± 10 кг и ростом 173,4 ± 7,96 см. Ни один из участников не посещал высокогорные районы в течение последних 3 месяцев, и никто не имел history курения, употребления алкоголя или восхождений выше 5000 метров. Все участники были впервые high-altitude альпинистами. Чтобы обеспечить наличие у участников basic физической подготовки, необходимой для этого восхождения, и гарантировать выполнение подъема с акцентом на личную безопасность, участники required принять участие в four-week программе физической подготовки prior к восхождению.
Дизайн исследования
Это исследование было проведено в январе 2021 года в провинции Сычуань, Китай, specifically на горе Сыгуняньшань Эрфэн, высота которой составляет 5276 метров. Участники были все из Уханя, Китай, на высоте 23,3 метра. Чтобы ознакомить участников с процедурами исследования, за неделю до actual горной экспедиции были проведены two simulated тестовых сессии под руководством designated personnel. Альпинистская экспедиция длилась three дня со следующим маршрутом:
- День 1: Отправление из Чэнду в город Сыгуняньшань (высота 3140 м) в 10:00, прибытие в 15:00.
- День 2: Отправление из города Сыгуняньшань в 9:00, пеший поход к базовому лагерю двух пиков Сыгуняньшань (высота 4300 м), covering в общей сложности 16 км. Время прибытия 16:45, средняя скорость 2,3 км/ч.
- День 3: Восхождение началось в 3:00, достигло summit в 7:15 (высота 5276 м) и вернулось в базовый лагерь примерно в 11:00, covering приблизительно 10 км со средней скоростью 1,25 км/ч. После краткого отдыха в базовом лагере участники отправились в 12:00, чтобы вернуться в город Сыгуняньшань, covering 16 км и прибыв в 16:30 со средней скоростью 3,55 км/ч.
Методы оценки
Для скрининга ОГБ использовалась Система оценки Острой Горной Болезни Лейк-Луиз (LLS). Диагностические критерии ОГБ включают rapid ascent на большую высоту в течение short периода, сопровождаемый головной болью и по крайней мере одним из следующих симптомов: gastrointestinal симптомы, усталость или головокружение. Степень тяжести симптомов оценивалась от 0 до 3, где 0 указывает на отсутствие симптомов, а 3 указывает на тяжелые симптомы.
Для измерения эмоций использовалась Шкала Самочувствия (Befindlichkeitsskala Scale, BFS). По сравнению с Profile of Mood States (POMS), BFS capture как positive, так и negative эмоции, обеспечивая более comprehensive оценку эмоциональных изменений во время восхождения. Китайская версия BFS была revised и состоит из eight подшкал, каждая containing five пунктов, всего 40 пунктов. Шкала разделена на two dimensions: оценочное измерение (хорошее/приятное и плохое/неприятное) и активационное измерение (позитивное/негативное).
Результаты исследования
Влияние острой горной болезни на эмоции
Результаты Spearman's rank correlation analysis показали, что оценка LLS была значительно отрицательно correlated с оценкой BFSP (r = -0,43, p < 0,05), что указывает на significant negative корреляцию между оценкой LLS и positive эмоциями. С другой стороны, оценка LLS была strongly significantly positively correlated с оценкой BFSN (r = 0,74, p < 0,01), что указывает на то, что оценка LLS была strongly positively correlated с negative эмоциями.
Чтобы further исследовать effects ОГБ и высоты на эмоции, был проведен regression analysis. Результаты показали significant negative корреляцию между ОГБ и оценками BFSP (β = -27,54, p = 0,03) и significant positive корреляцию между ОГБ и оценками BFSN (β = 21,97, p = 0,03). Это означает, что после развития ОГБ positive эмоции decreased на 27,54, в то время как negative эмоции increased на 21,97.
Эмоциональные изменения на разных высотах
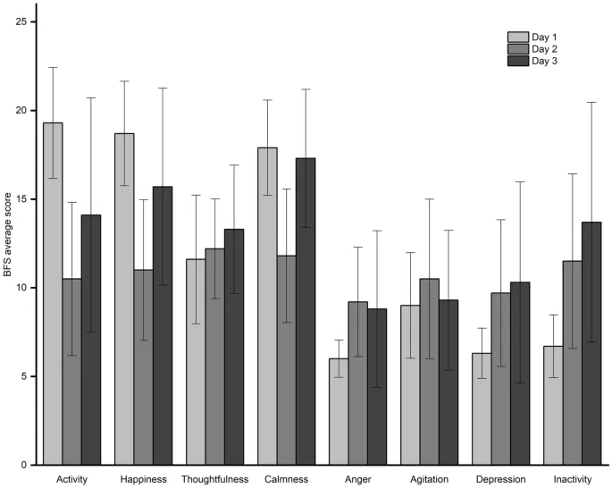
В течение 3-дневной альпинистской деятельности у 5 individuals развилась ОГБ как на День 2, так и на День 3, и это были те же самые individuals. Согласно оценкам LLS, ОГБ была более severe на День 3, причем у 3 individuals наблюдалось significant увеличение оценок LLS. Симптомы gradually улучшились или исчезли после того, как пациенты спустились на lower высоты.
Используя Wilcoxon rank-sum test, были examined эмоции individuals с ОГБ+ и без ОГБ на разных высотах в течение 3-дневного периода. Результаты показали, что на День 2, на высоте 4300 метров, была highly significant разница в оценке подшкалы депрессии по BFS между группами ОГБ+ и ОГБ- (p < 0,01). Significant различия (p < 0,05) также наблюдались в подшкалах гнева, agitation и бездеятельности. На День 3, upon возвращении на высоту 3140 метров, significant различия (p < 0,05) были found в оценках для подшкал счастья, спокойствия, гнева, agitation и депрессии.
Обсуждение результатов
Это исследование было направлено на изучение эмоциональных состояний десяти альпинистов-любителей во время их восхождения на большие высоты и изучение факторов, влияющих на их эмоции в real высокогорной среде. Результаты indicated ухудшение эмоций с increasing высотой, за которым последовало улучшение во время спуска. Significant различия в negative эмоциях наблюдались между individuals с ОГБ+ и без ОГБ-. Кроме того, ОГБ emerged как predictive фактор для эмоциональных состояний.
Ключевые выводы
Результаты этого исследования contribute к нашему пониманию эмоционального опыта альпинистов-любителей в высокогорных условиях. Результаты indicate pivotal роль высоты в формировании эмоций, причем более высокие elevation correlating с эмоциональным ухудшением, что согласуется с prior исследованиями, подчеркивающими impact высоты на emotional благополучие. Эмоции десяти альпинистов-любителей exhibited пики и спады во время процесса восхождения.
Наблюдаемые significant различия в negative эмоциях между individuals с ОГБ+ и без ОГБ- подчеркивают pivotal роль статуса ОГБ в influencing эмоциональных состояний во время альпинистской деятельности. Individuals с ОГБ experienced более высокие уровни negative эмоций, таких как гнев, возбуждение и депрессия. Это finding подчеркивает необходимость adequate мер по предотвращению и управлению ОГБ среди альпинистов, поскольку это не только affects физическое здоровье, но и имеет profound impact на emotional благополучие. Более того, predictive роль ОГБ для эмоций highlights its потенциал в качестве early индикатора эмоциональных изменений в высокогорных условиях.
Ограничения и перспективы будущих исследований
Стоит отметить, что это исследование имеет several ограничения. Небольшой размер выборки и focus на альпинистов-любителей restrict возможность обобщения результатов исследования. Однако further исследования необходимы для подтверждения и расширения этих результатов путем изучения более крупных и разнообразных samples. Кроме того, исследование не examined другие потенциальные факторы, которые могут влиять на эмоции во время альпинистской деятельности, такие как individual различия или environmental условия. Будущие исследования должны aim повторить эти findings с larger samples и рассмотреть дополнительные факторы, чтобы получить более comprehensive понимание эмоциональной динамики в high-altitude альпинизме.
Заключение и рекомендации
Это исследование предоставляет valuable insights в эмоциональный опыт альпинистов-любителей в высокогорных условиях. Результаты исследования indicate, что высота играет significant роль в формировании эмоций, причем статус ОГБ является key фактором. Основываясь на этом исследовании, мы предлагаем следующие рекомендации: prior к восхождению, enhance адаптивность к высокогорным условиям и улучшить psychological устойчивость через training. Поддержание stable эмоций может способствовать лучшей performance среди альпинистов и increase безопасность восхождений. Во время восхождения следует strengthen скрининг и мониторинг эмоциональных изменений и применять вмешательства и корректировки promptly, если обнаружено ухудшение. После восхождения individuals должны actively вмешиваться, чтобы alleviate enduring impact negative эмоций на альпинистов.
Исследование подчеркивает комплексное взаимодействие между физиологическим стрессом от высоты и психологическим благополучием, подчеркивая необходимость целостных подходов к безопасности и подготовке в альпинизме.