
Интересное сегодня
Генетические основы синдрома хрупкой X: диагностика и выявле...
Введение Синдром хрупкой X (SXH) является ведущей наследственной причиной умственной отсталости (Cra...
Как полюбить своё тело: советы от экспертов и личный опыт
Моя история: от ненависти к телу к принятию Вот что я никогда никому не говорила: я ношу 48-й размер...
Психометрическая валидация шкалы оценки отношения к вакцинац...
Введение Пандемия COVID-19 стала испытанием на прочность для общественного доверия к вакцинации как ...
Тревожный и избегающий тип привязанности: различия и влияние...
Тревожный и избегающий тип привязанности Теория привязанности, разработанная психологами Джоном Боул...
Как нейросети предсказывают политические взгляды по фото: ро...
Введение: что можно узнать по лицу человека? Что мы можем узнать по лицу человека и какая именно ин...
Как занятия боевыми искусствами повышают устойчивость подрос...
Потенциал кунг-фу для старшеклассников? Доудоу Ян и Сяоянь Ван из Гуандуна (Китай) исследовали психо...
Введение
Расстройство аутистического спектра (РАС) характеризуется симптомами, связанными с социальным взаимодействием, коммуникацией и повторяющимся поведением. Обычно диагноз ставится в детстве, но в последние годы всё чаще диагностируется у взрослых. Из-за отсутствия чётких биомаркеров текущий процесс диагностики требует множества оценок, включая наблюдение (например, ADOS2), нейропсихологические тесты и интервью с родителями.
Проблемы диагностики
Традиционные методы диагностики требуют много времени и ресурсов, что приводит к длительным ожиданиям. В связи с растущим спросом на диагностику, всё больше исследований направлено на разработку автоматизированных методов, таких как машинное обучение.
Методы
Участники исследования
В исследовании участвовали 56 пациентов с диагнозом РАС и 38 пациентов с другими психическими расстройствами. Видеозаписи диагностических интервью ADOS2 анализировались с помощью компьютерного зрения.
Анализ синхронности движений
Для оценки синхронности использовался метод Motion Energy Analysis (MEA), который измеряет изменения в движении головы и тела. Затем данные обрабатывались с помощью алгоритма SVM для классификации.
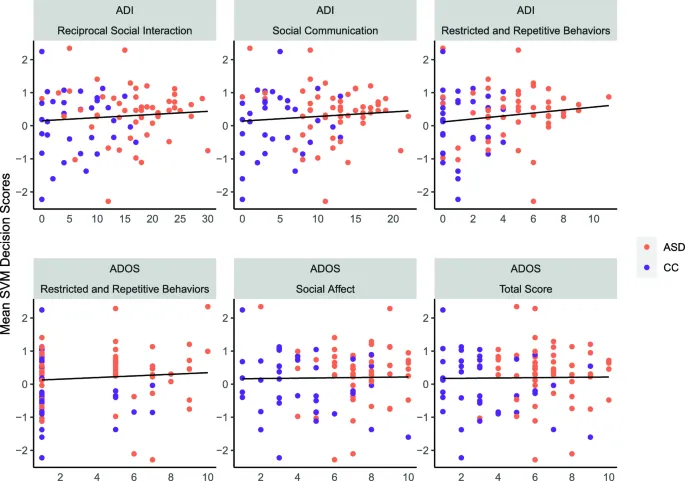
Результаты
Модель SVM показала точность 63.4% в классификации пациентов с РАС. Однако не было обнаружено значимой связи между результатами классификации и клиническими оценками.
Особенности классификации
- Классификация в сторону РАС была связана с большей асимметрией и эксцессом синхронности тела.
- Большее движение врача ассоциировалось с диагнозом РАС, а большее движение пациента — с другими диагнозами.
Обсуждение
Исследование демонстрирует потенциал автоматизированного анализа движений для диагностики аутизма. Однако необходимы дальнейшие исследования для улучшения точности и валидации метода.
Ограничения
Основные ограничения включают небольшой размер выборки и различия в условиях записи видео. Для будущих исследований рекомендуется стандартизация протоколов.