Моделирование поведения потерявшихся в дикой природе: агентная модель на основе данных поиска и спасения

Моделирование поведения потерявшихся в дикой природе: агентная модель на основе данных поиска и спасения

Интересное сегодня

Связь объема мозжечка и когнитивных функций при болезни Альц...

Введение в проблему исследования Болезнь Альцгеймера (БА) является распространенным нейродегенерати...

Три причины, почему вы можете возвращаться к партнеру, котор...

Как специалист по отношениям, я часто вижу людей, похожих на Сару, Криса и Дженну, которые не могут ...

Гибкость внимания и обработка неожиданных стимулов: как мозг...

Введение в гибкость внимания Важным аспектом когнитивного контроля является способность обновлять фо...

Как когнитивная абстракция влияет на просоциальное поведение...

Влияние когнитивной абстракции на просоциальное поведение Многие исследования демонстрируют, что люд...

Основная причина ожирения: диета, а не недостаток физической...

Рост ожирения: глобальная проблема Несмотря на популярность диет, фитнес-трендов и влиятельных блоге...

Как физическая активность снижает влияние нейтрофилов на деп...

Влияние физической активности на связь между нейтрофилами и депрессией Изменения в количестве иммунн...

Рис. 1. Пример карты инцидента с линейными особенностями и недоступными областями
Рис. 1. Пример карты инцидента с линейными особенностями и недоступными областями
Рис. 2. Схема стратегий поведения и их PMF
Рис. 2. Схема стратегий поведения и их PMF
Рис. 3. Блок-схема алгоритма модели
Рис. 3. Блок-схема алгоритма модели
Рис. 4. Лучшие подгонки поведения (p), энергетическая статистика (E) и вес (w) для каждого инцидента
Рис. 4. Лучшие подгонки поведения (p), энергетическая статистика (E) и вес (w) для каждого инцидента
Рис. 5. Сравнение траекторий для инцидентов с наивысшим и наинизшим весом
Рис. 5. Сравнение траекторий для инцидентов с наивысшим и наинизшим весом
Рис. 6. Расстояния и веса для всех инцидентов
Рис. 6. Расстояния и веса для всех инцидентов
Рис. 7. Средний поведенческий профиль туриста
Рис. 7. Средний поведенческий профиль туриста
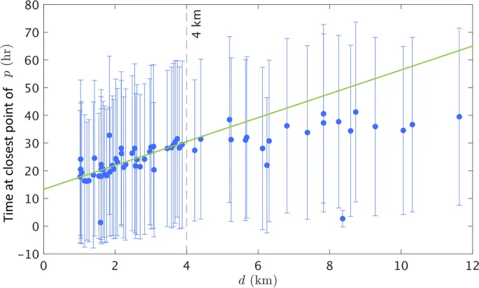
Рис. 8. Среднее время до ближайшей точки в зависимости от расстояния
Рис. 8. Среднее время до ближайшей точки в зависимости от расстояния
Thumbnail 1
Thumbnail 2
Thumbnail 3
Thumbnail 4
Thumbnail 5
Thumbnail 6
Thumbnail 7
Thumbnail 8
Thumbnail 9
Thumbnail 10
Thumbnail 11
Оригинал исследования на сайте автора

Моделирование поведения потерявшихся в дикой природе: Агентная модель на основе данных поиска и спасения

Ежегодно в США тысячи людей теряются в дикой местности, и их быстрое обнаружение зависит от скоординированных поисково-спасательных (SAR - Search and Rescue) операций. С течением времени зона поиска расширяется, вероятность выживания снижается, а задача спасателей становится все более сложной — им приходится обследовать большие территории за короткий промежуток времени. Для оптимизации процесса поиска можно использовать математические модели поведения потерявшихся людей (LP - Lost Person) с учетом ландшафта, в сочетании с текущими практиками SAR.

Введение

В период с 2004 по 2014 год только в национальных парках США было зафиксировано 46 609 случаев пропажи людей, что потребовало поисково-спасательных операций общей стоимостью около 51,4 миллиона долларов. Поисково-спасательные операции в дикой природе не только требуют значительных временных и финансовых затрат ежегодно, но и оказывают серьезное физическое и психологическое воздействие на участников. Эти поиски могут быть сопряжены с большим риском для людей-спасателей из-за необходимости обследовать обширные территории в условиях жестких временных ограничений, поскольку время напрямую влияет на шансы потерявшегося на выживание. Однако именно скоординированные SAR-операции являются единственным способом найти пропавшего человека живым. Следовательно, крайне важно сделать эти поиски максимально эффективными, используя методы для лучшего понимания поведения потерявшихся людей.

Потерявшийся человек (LP) определяется как человек, неспособный идентифицировать свое местоположение или сориентироваться относительно известных ориентиров и не имеющий эффективных средств или методов для реориентации. В этом определении два аспекта: растерянность в определении текущего местоположения и неспособность к реориентации. Это отсутствие возможности сориентироваться побуждает потерявшихся людей использовать различные модели поведения. В книге «Lost Person Behavior» Роберт Кёстер определил стратегии поведения, основанные на сборе данных об инцидентах. Различные типы потерявшихся людей, отличающиеся демографическими характеристиками, такими как возраст, когнитивное или эмоциональное состояние, а также деятельностью, предшествующей моменту потери, подвержены специфическим поведенческим реакциям при реориентации. Например, турист может полагаться на такие ориентиры, как дороги и тропы, в то время как человек с деменцией может двигаться в одном направлении, игнорируя рельеф местности. Психологические эффекты потери ориентации и связанное с ними поведение были предметом обширных исследований со стороны экологических психологов. В данной работе используются эти поведенческие профили, или типы потерявшихся людей (LPT - Lost Person Types), на которые в сообществе SAR ссылаются как на категории субъектов, для информирования модели динамики поведения потерявшихся людей в дикой природе.

В настоящее время команда SAR сначала создает карту вероятностного распределения вероятных местоположений потерявшегося человека, основываясь на особенностях рельефа, профиле потерявшегося, погодных условиях и данных от экспертов SAR. Спасатели должны знать начальное местоположение потерявшегося человека, будь то точка, последняя, где его видел свидетель, или последнее известное место, где есть существенные доказательства его нахождения. В любом случае, эта точка называется начальной точкой планирования (IPP - Initial Planning Point) и используется для измерения прогресса поиска. Руководитель операции распределяет ресурсы и координирует действия спасателей на основе имеющейся информации и карты вероятностей. Качественное планирование и эффективное распределение задач в первые часы поиска могут существенно повлиять на его успех. С течением времени шансы потерявшегося на выживание быстро снижаются, особенно если его не найдут в течение первых 51 часов; другими словами, эффективное планирование может означать жизнь или смерть. Таким образом, качество прогнозируемых местоположений потерявшегося человека имеет решающее значение для поисковых операций. В настоящее время эти прогнозы основаны на эвристиках, используемых руководителем операции, которые могут быть не в состоянии одновременно учитывать геофизические и временные характеристики ландшафта, а также демографическую информацию и данные о деятельности потерявшегося человека. Цель данной статьи — представить новую динамическую модель поведения потерявшегося человека, которая синтезирует информацию о конкретной среде поиска, а также характеристики потерявшегося человека, полученные из большой базы данных инцидентов поиска.

Международная база данных по поиску и спасению (ISRID)

Международная база данных по поиску и спасению (ISRID - International Search and Rescue Incident Database), созданная и поддерживаемая Робертом Кёстером и представленная в книге «Lost Person Behavior», содержит данные более чем 145 000 поисковых операций со всего мира и определяет стратегии, которые могут использовать потерявшиеся люди. Книга выделяет более 30 категорий потерявшихся людей (LP) на основе информации о деятельности или демографических данных. Среди зарегистрированных метрик — горизонтальное и вертикальное расстояние от IPP, время, в течение которого потерявшийся человек оставался подвижным, и его статус при обнаружении. Статистические показатели суммируются и отличаются для каждой категории потерявшихся людей. На практике спасатели используют эту статистику для создания специальных карт вероятностей, таких как модель кольцевых зон, чтобы предсказать местоположение потерявшегося человека. Однако эти тактики предполагают, что к моменту начала поиска потерявшийся человек прекратил движение. Поскольку сообщество стремится оптимизировать SAR-операции, команды поиска разворачиваются быстрее, и предположение о том, что потерявшийся человек статичен, больше не соответствует действительности. Следовательно, движение должно учитываться на этапе планирования для создания карты вероятностей, которая развивается во времени.

Существующие модели поведения потерявшихся людей

В литературе существуют модели динамики поведения потерявшихся людей в дикой природе. Многие существующие модели человеческого поведения использовались в основном для изучения динамики движения пешеходов, включая модели, основанные на силах, демонстрирующие избегание столкновений, управление на основе визуальных сигналов или целенаправленное поведение, а также агентные модели, основанные на поведенческих эвристиках. Модель потерявшегося человека принципиально отличается от динамики движения пешеходов, поскольку поведение потерявшегося человека сильно зависит от ландшафта и типа потерявшегося человека, на что указывают статистические данные ISRID. Модели поведения потерявшихся людей в литературе являются как детерминированными, так и стохастическими, и могут учитывать или игнорировать местный ландшафт. Модель водораздела, проанализированная Доуком и описанная Савой и др., воплощает идею о том, что потерявшийся человек будет двигаться по пути, минимизирующему пересечение водоразделов. Модель кольцевых зон использует статистику из базы данных, подобной ISRID, для построения концентрических окружностей, ограничивающих возможное положение потерявшегося человека после заданного времени, но игнорирует специфические особенности ландшафта и полагается только на максимальное расстояние, которое потенциально может преодолеть потерявшийся человек. Основываясь также на ISRID, МакДэниел создал агентную модель, использующую стратегии поведения и детальное ландшафтное окружение, что было бы улучшено использованием реальных инцидентов поиска вместо обобщенной статистики. Морель и др. разработали пространственно-явную агентную модель для исследования движения людей на границе городских и природных зон. Хотя эта модель зависит от ландшафта, она была смоделирована только в среде города среднего размера и его окрестностях и не включает временной аспект. Байесовская модель, созданная Лин и Гудрич, учитывает только рельеф, но не стратегии или типы потерявшихся людей. Мохибулла расширил байесовскую модель и создал агентную модель, использующую различные стратегии, которая также учитывает тот факт, что потерявшийся человек имеет внутреннее состояние, которое развивается со временем при движении, то есть потерявшийся человек может устать. Для оценки модели авторы сравнили смоделированные траектории с фактическими записями движения участников в условиях дикой природы. Хотя траектории движения желательны, контролируемый эксперимент может не отражать поведение, обусловленное истинными психологическими эффектами потери ориентации, и предпочтительнее оценка с использованием реальных инцидентов поиска. Аланис и др. создали механистическую модель для потерявшегося туриста, которая оценивает влияние смоделированного рельефа в сочетании с поведением потерявшегося человека с использованием марковского процесса принятия решений с конечным горизонтом. Хотя она включает как географическую информацию, так и поведенческий анализ, модели не хватает использования реальных картографических данных и фактических инцидентов поиска. В противоположность этому, Шерич и др. используют реальные инциденты поиска в клеточно-автоматном алгоритме для определения области поиска потерявшегося человека, используя скорость ходьбы в качестве основного параметра. Их результаты показывают, что особенности ландшафта играют большую роль в движении потерявшегося человека и всегда должны учитываться при планировании области поиска. Другая модель Меткалфа использует вероятностное движение в сетке и подчеркивает важность топографии и усталости на движение потерявшегося человека. Однако в обоих этих случаях авторы игнорируют стратегии поведения потерявшихся людей. Учитывая предыдущую литературу, пробел в текущих знаниях становится очевидным. В данной статье мы предлагаем модель, которая включает различные типы потерявшихся людей, известные стратегии поведения и детальное ландшафтное окружение, которое оценивается с использованием большой базы данных инцидентов с потерявшимися людьми.

Цель исследования

Мы стремимся использовать подход, отличный от предыдущих работ по поведению потерявшихся людей, который включает идею о том, что потерявшиеся люди могут быть разных типов, определенных в «Lost Person Behavior», и который генерирует конкретные маршруты, пройденные потерявшимся человеком на известном ландшафте. Этот подход дает ожидаемое местоположение потерявшегося человека с произвольно высоким пространственно-временным разрешением. Данная работа расширяет модель нулевого поколения, включая все существенные стратегии поведения и обновленные особенности рельефа, и мы оцениваем результаты, используя набор данных об инцидентах с потерявшимися людьми вместо обобщенной статистики из ISRID. Путем симуляции всех возможных распределений поведений мы можем сравнивать типы потерявшихся людей (LPT), взятые из реальных данных, с поведениями, используемыми в нашей модели, и валидировать профили на основе информации из ISRID. Мы предполагаем, что эта модель, поскольку она генерирует потенциальные траектории потерявшегося человека на ландшафте, будет способствовать текущим SAR-усилиям, а также позволит внедрить новые SAR-практики, такие как использование беспилотных летательных аппаратов (БПЛА) для более эффективного поиска больших территорий.

Структура статьи

Организация данной статьи следующая. Сначала мы описываем модель, включая генерацию карт, стратегии поведения потерявшихся людей и поведенческие профили. Далее мы излагаем симуляции, детализируя набор данных, использованный для подгонки модели, параметры симуляции и метрику для валидации подгонки модели. Затем подробно представлены результаты симуляций, за которыми следуют обсуждение и выводы.

Моделирование

В этом разделе мы описываем, как мы генерируем карты, на которых моделируется динамика поведения потерявшихся людей, затем определяем стратегии поведения, которые может использовать потерявшийся человек, и показываем, как эти стратегии комбинируются для создания конкретного типа потерявшегося человека.

Карта

Потерявшийся человек моделируется как самодвижущийся агент, перемещающийся в дискретном времени по двумерной квадратной сетке фиксированной длины стороны. Сетка представляет собой определенный регион карты, и каждая ячейка информируется о геофизических характеристиках местоположения. Эти специфические характеристики извлекаются из данных геоинформационной системы (ГИС - Geographic Information System) Геологической службы США (USGS - United States Geological Survey), которая предоставляет слои карты с заданным разрешением и используются в данной работе для определения того, как потерявшийся человек взаимодействует с окружающей средой.

Карты содержат два типа особенностей: (1) линейные особенности, по которым может двигаться потерявшийся человек, и (2) недоступные области, через которые потерявшийся человек не может пройти. При потере ориентации часто следуют заранее определенным путям, таким как пешеходные тропы, дороги, железные дороги, линии электропередач и водные объекты. Эти одномерные маршруты определяются в модели как линейные особенности. Помимо структурных линейных особенностей, мы включаем пути, определяемые по высоте (относительно уровня моря), такие как горные хребты и водотоки. Эти особенности проявляются как критические точки в величине градиента высоты. После вычисления поля градиента с использованием производной фильтра Гаусса вычисляется величина и сглаживается. Линейные особенности находятся с помощью метода обнаружения краев Канни, путем поиска локальных максимумов и минимумов скалярного поля. В Приложении содержатся подробности реализации этих обработок данных.

В дополнение к линейным особенностям, карта содержит недоступные области, в частности, внутренние части озер и широкие реки. Находя границы этих водных регионов, мы можем отделить береговые линии рек и озер от их внутренних частей и отнести их к картам линейных особенностей и карт недоступности соответственно. На рис. 1 показан пример карты со всеми слоями линейных особенностей и недоступных областей. Когда агент движется по сетке, он будет проверять свое положение на карте особенностей, чтобы убедиться, что он избегает недоступных областей и использует линейные особенности в зависимости от выбранной им стратегии поведения. Достаточно крутые склоны также теоретически считались бы недоступной областью, но в текущей версии модели это не реализовано.

Стратегии поведения потерявшихся людей

Модель определяет, как потерявшийся человек перемещается между ячейками на пространственно-дискретной карте. На каждом временном шаге агент может перемещаться из своего положения в любую из восьми соседних ячеек или оставаться в текущей ячейке, используя алгоритм, определяющий возможные стратегии поведения. В текущей модели мы определили шесть стратегий поведения, основанных на книге «Lost Person Behavior»:

  • 1. Случайное блуждание (RW - Random Walking): Агент движется случайным образом.
  • 2. Движение по маршруту (RT - Route Traveling): Агент движется по линейной особенности.
  • 3. Движение в заданном направлении (DT - Direction Traveling): Агент движется поперек местности в одном направлении по компасу, часто игнорируя тропы и пути.
  • 4. Оставаться на месте (SP - Staying Put): Агент активно остается в одном и том же месте.
  • 5. Улучшение обзора (VE - View Enhancing): Агент пытается занять позицию с большей высотой.
  • 6. Возврат по пройденному пути (BT - Backtracking): Агент пытается следовать по точно пройденному ранее маршруту.

Каждый тип потерявшегося человека (LPT) определяется функцией массы вероятности (PMF - Probability Mass Function), которая отражает вероятность использования агентом определенной стратегии на каждом временном шаге. PMF представляет собой шестиэлементный вектор вероятностей для каждой из вышеуказанных стратегий, сумма которых равна единице. Например, LPT с вероятностью [RW, RT, DT, SP, VE, BT] = [1/2, 0, 1/6, 1/3, 0, 0] имеет 50% шанс на случайное блуждание, 17% шанс на движение в заданном направлении и 33% шанс оставаться на месте на каждом временном шаге. Независимые реализации этого распределения поведений генерируются на каждом временном шаге, и положение агента обновляется в соответствии со случайно выбранной стратегией.

Для начала симуляции выбирается начальное положение агента x(1)n athbb {N}^2, а второе положение x(2)n athbb {N}^2 случайным образом генерируется из восьми соседних ячеек относительно x(1). Начальная скорость вычисляется как v(1) = x(2)x(1). Разница между последовательными положениями может рассматриваться как скорость, что облегчает реализацию некоторых стратегий, зависящих от направления движения, таких как «Движение в заданном направлении». При обновлении положения на каждом временном шаге мы используем коэффициент сглаживания lpha, чтобы учесть предыдущую скорость и сделать траектории похожими на траектории идущего человека, вводя память на один временной шаг. Обновленное сглаженное положение на каждом временном шаге t вычисляется как:

$$ egin{aligned} x(t+1) = (2lpha )x(t) + (lpha 1)x(t1)+lpha v(t) nd{aligned} $$ (1)

где v(t)=at{x}(t+1)x(t), а at{x}(t+1) — предварительное обновление для выбранной стратегии поведения. На каждом временном шаге t генерируется независимая реализация выбранной PMF, определяющая стратегию, которую агент будет использовать для обновления положения x(t+1) и скорости v(t+1). Размещая агента в центре сетки 3 imes 3, являющейся подмножеством большей дискретной карты, в системе координат тела, локальной для положения агента, мы генерируем движение путем выбора одной из шести стратегий. На временном шаге t сетка 3 imes 3 (см. рис. 2) с x(t) в центре располагается так, чтобы она совпадала с вектором скорости v(t). На квадратной сетке карты это достигается путем соответствующего округления значений координат, когда эта ориентация не ортогональна глобальным осям.

Шесть вышеуказанных стратегий определяют обновления положения агента относительно сетки 3 imes 3 и x(t+1) в глобальных координатах. Стратегии и их соответствующие PMF показаны на схеме на рис. 2. Когда человек движется случайным образом (RW), вероятность перемещения в любую соседнюю ячейку, включая собственную, одинакова. Когда агент движется по маршруту (RT), он проверяет каждую из окружающих ячеек на наличие линейной особенности. Затем обновленное положение случайным образом выбирается (с равномерной вероятностью) из максимум трех возможных положений в направлении движения в системе координат тела, если линейная особенность присутствует. Это определение обеспечивает сохранение направления движения вдоль линейной особенности. Если особенность отсутствует, агент выполняет случайное блуждание. Когда человек движется в заданном направлении (DT), он движется только вперед в системе координат тела. Предыдущее направление движения учитывается ориентацией системы координат тела, параллельной вектору скорости. При использовании стратегии «Оставаться на месте» (SP) единственным возможным обновлением является предыдущее положение агента. При использовании стратегии «Улучшение обзора» (VE) агент проверяет высоту каждой из соседних ячеек относительно своей текущей высоты и выбирает ячейку с наибольшей высотой. Если он находится на самой высокой точке, агент остается на месте. Наконец, при использовании стратегии «Возврат по пройденному пути» (BT) сначала проверяется, было ли предыдущее поведение также BT. Если нет, то обновленное положение — это предыдущее местоположение. Если предыдущее поведение было «возврат по пройденному пути», агент использует последнее положение, не являющееся BT. В этой стратегии агент движется назад по своему пути к предыдущим позициям. В случае, если агент пытается переместиться в недоступную область, он остается на месте на текущем временном шаге, независимо от используемой стратегии.

Затем модель итерируется в течение T временных шагов для генерации траектории агента.

Поведенческие профили

Модель потерявшегося человека может моделировать множество типов потерявшихся людей, включая детей, охотников или туристов, и т. д. Чтобы продемонстрировать мощность модели, мы выбрали для моделирования только туристов из-за большого объема доступных данных и их распространенности в SAR-инцидентах. Чтобы определить поведенческий профиль для туриста, мы генерируем все возможные перестановки шести стратегий поведения в виде LPT PMF, где вероятность каждого поведения является кратной 1/6. Увеличивая вероятность каждого поведения от нуля до единицы с шагом 1/6 и сохраняя только те распределения, которые в сумме дают единицу, мы получаем набор из 462 LPT с различными пропорциями каждого поведения. Каждое из этих распределений LPT моделируется для 500 Монте-Карло репликаций для каждого инцидента. Блок-схема, детализирующая алгоритм модели, представлена на рис. 3.

Симуляции

В этом разделе мы описываем данные о SAR-инцидентах, использованные для подгонки модели, детализируем параметры симуляции и определяем метрику для сравнения численных результатов.

Данные об инцидентах с потерявшимися людьми

Для симуляционного исследования мы используем расширенный набор данных об инцидентах с потерявшимися людьми из ISRID, который включает богатую информацию, такую как демографические данные о потерявшемся человеке, количество потерявшихся в инциденте, регион и место обнаружения. Данные, использованные в этом исследовании, взяты из коллекции ранее существовавших инцидентов с потерявшимися людьми и, следовательно, являются ретроспективными. В частности, наши симуляции основаны на начальных точках планирования (IPP), местах обнаружения и типах потерявшихся людей, где IPP и места обнаружения определяются как начальные условия и критерии окончания симуляций соответственно. Затем определяется тип потерявшегося человека, который минимизирует различия с фактическими местами обнаружения.

Мы выбрали подмножество инцидентов с туристами, используя критерии исключения для места обнаружения. В частности, мы исключаем местоположения, где место обнаружения находится в пределах 1 км от IPP, за пределами пределов смоделированной карты, в недоступной области, определенной нашими ГИС-слоями, или в пределах 100 ячеек от границы карты. После применения этих критериев у нас остается набор из N=65 инцидентов, на которых мы симулируем нашу модель, охватывающих различные регионы США. Каждый инцидент с потерявшимся человеком определяется GPS-координатами как для IPP, так и для места обнаружения. Набор данных, использованный для данного исследования, включен в дополнительные файлы. Примечание: эти данные фигурируют среди множества инцидентов, обобщенных в общедоступных наборах данных.

Для каждого из инцидентов генерируется карта размером 20athrm {км} imes 20 athrm{км} с соответствующими слоями высот, линейных особенностей и недоступных областей, а IPP располагается в центре как начальная позиция. Карта дискретизируется в сетку 3000 imes 3000 ячеек, где ячейки представляют собой квадраты размером 6.67athrm {м} imes 6.67athrm {м}, а IPP находится в (x,y)=(1500,1500). На рис. 1 показан пример карты одного из инцидентов, демонстрирующий все линейные особенности и недоступные области.

Параметры симуляции

Карты генерируются с использованием Python v3.6.8, а данные о высоте и слоях извлекаются из сервисов ArcGIS с помощью AGS Tools. Симуляции выполняются с использованием MATLAB 2020a на кластере Advanced Research Computing Cascades в Virginia Tech. Полный список параметров приведен в Таблице 1. Длительность симуляций устанавливается равной K=100 часам, где каждый временной шаг основан на максимальной скорости ходьбы около 1,575 метра в секунду. Это соответствует T=850 временным шагам в час, где T умножается на длину K для определения длины каждой Монте-Карло репликации. Выбор временного шага определяется средней скоростью ходьбы человека, которая составляет около 3,5 миль в час или 1,56 метра в секунду. Симулируя в течение K=100 часов, агент имеет возможность пересечь всю карту. Выбор коэффициента сглаживания lpha обусловлен необходимостью генерации траекторий, качественно схожих с известными траекториями реальных туристов. Кроме того, значение lpha = 0.55 выбирается специально для избежания взаимного уничтожения в переменных, которое может произойти при использовании равного веса lpha =0.5. Мы симулируем каждый из N=65 инцидентов для 462 LPT с 500 репликациями.

Статистика энергии

Для исследования валидности модели мы используем статистику для сравнения смоделированных траекторий с фактическими местоположениями обнаружения для каждого из инцидентов. Энергетическое расстояние — это метрика, которая количественно определяет статистическое расстояние между распределениями случайных векторов, тем самым характеризуя равенство распределений. Чтобы проверить равенство распределений, мы рассматриваем нулевую гипотезу о том, что две случайные переменные X и Y имеют одинаковые вероятностные распределения. Для выборок из X и Y, x_{1}, dots , x_{n} и y_{1}, dots , y_{m} соответственно, энергетическая статистика для проверки этой нулевой гипотезы определяется как:

$$ egin{aligned} athscr{E}(X, Y):=2 ABC nd{aligned} $$ (2)

где A, B и C — средние значения парных расстояний между выборками X и Y:

$$ egin{aligned} A&= rac{1}{n m} um _{i=1}^{n} um _{j=1}^{m}eft x_{i}y_{j} ight ,&B&= rac{1}{n^{2}} um _{i=1}^{n} um _{j=1}^{n}eft x_{i}x_{j} ight ,&C&= rac{1}{m^{2}} um _{i=1}^{m} um _{j=1}^{m}eft y_{i}y_{j} ight . nd{aligned} $$ (3)

В нашем случае, для каждого инцидента мы находим ближайшую точку каждой репликации, которая минимизирует расстояние от смоделированной траектории до фактического места обнаружения, и определяем это как реализации X для каждого из 462 распределений поведения. Y — это фактическое место обнаружения, предоставленное из базы данных инцидентов, которое является одной GPS-точкой. Другими словами, n=500 и m=1. Мы вычисляем парные расстояния между XY и X, чтобы найти A и B, и, следовательно, энергетическую статистику. Поскольку Y имеет только одну реализацию, значение C равно нулю.

Мы определяем лучшее распределение поведения для инцидента i как LPT с наименьшей энергетической статистикой, что дает нам ведущий поведенческий профиль, p_i. Например, поведенческий профиль для девятнадцатого инцидента — это p_{19}=eft[ rac{1}{6},0, rac{5}{6},0,0,0 ight], что является нормализованным распределением шести стратегий поведения [RW, RT, DT, SP, VE, BT]. Чтобы обобщить эти профили по всем инцидентам, мы присваиваем вес w_i каждому распределению вероятностей p_i, который является степенью обратной величины энергии на единицу расстояния, определяемой как:

$$ egin{aligned} w_i = igg ( rac{d_i}{athscr{E}_i}igg )^L nd{aligned} $$ (4)

для i=1,dots , N. Эта величина основана на энергетической статистике инцидента athscr{E}_i, расстоянии d_i, измеренном между IPP и фактическим местом обнаружения, и характеристическом параметре длины L. Мы выбираем L= rac{1}{2}, чтобы более весомо представить лучшие подгонки распределений. На рис. 4 лучшие подгонки поведения p для каждого инцидента показаны на верхнем подграфике с соответствующей энергетической статистикой athscr{E} и весом w на втором и третьем подграфиках соответственно. Инциденты отсортированы по их весу в Уравнении (4) от наивысшего к наинизшему.

Чтобы дать лучшее представление о том, насколько хорошо поведение соответствует инциденту на основе соответствующего энергетического расстояния, на рис. 5 показаны инциденты, соответствующие наивысшим и наинизшим весам на рис. 4. Каждый подграфик показывает ближайшие точки траекторий репликаций для первого и десятого лучших подгоночных LPT, IPP и местоположение обнаружения. Мы ожидаем увидеть точки из первого лучшего LPT p (черные точки), сконцентрированные ближе к месту обнаружения, чем десятого лучшего LPT (серые точки). Левый график на рис. 5 — это инцидент с наивысшим весом, и распределение точек для p ближе к месту обнаружения, чем у всех других LPT, включая показанный на графике. С другой стороны, правый график на рис. 5 — это инцидент с наинизшим весом, и, хотя можно увидеть, что p по-прежнему ближе всего к месту обнаружения по сравнению с десятым, заметно, что место обнаружения значительно дальше от IPP, чем на левом графике. Может возникнуть соблазн полагать, что инциденты с наименьшим d всегда будут иметь более высокий вес, но это не всегда так. На рис. 6 показаны расстояния и веса для всех инцидентов, и хотя существует корреляция между более высокими весами и меньшими расстояниями, отклонения от этой тенденции демонстрируют тот факт, что вес определяется обратно пропорционально энергии на единицу расстояния, а не просто энергии.

Результаты

Средний поведенческий профиль туриста

После определения лучшего поведенческого профиля и соответствующего веса для каждого инцидента мы можем объединить их, чтобы найти средний поведенческий профиль туриста. Используя эти лучшие совпадения, мы вычисляем взвешенное среднее:

$$ egin{aligned} p_{athrm {hiker}} = rac{w_1 {p}_1+w_2 {p}_2+dots +w_N {p}_N}{|w_1 {p}_1+w_2 {p}_2+dots +w_N {p}_N|} nd{aligned} $$ (5)

где распределение нормализовано так, чтобы сумма равнялась единице, а веса определяются так же, как в Уравнении (4), для N=65 инцидентов. Полученное распределение p_{athrm {hiker}} соответствует поведенческому профилю [RW, RT, DT, SP, VE, BT] =[0.055, 0.377, 0.559, 0.003, 0.006, 0] и показано на рис. 7.

Оценка соответствия методом перекрестной проверки

Этот средний поведенческий профиль туриста может быть оценен с использованием статистических мер для определения качества подгонки к экспериментальным данным. Мы оцениваем метод подгонки модели с использованием статистического анализа, называемого перекрестной проверкой по методу исключения одной выборки (LOOCV - Leave-One-Out Cross-Validation). Для выполнения перекрестной проверки мы разделяем все выборки на два подмножества, применяем численный метод подгонки к одному подмножеству (обучающий набор) и затем оцениваем его предсказательную способность путем сравнения с другим подмножеством (тестовый набор). В LOOCV для набора данных, состоящего из k образцов, одна точка данных оставляется в качестве тестового набора, а оставшиеся k1 образцов составляют обучающий набор. Для оценки модели потерявшегося человека модель подгоняется с поведенческим профилем N раз, каждый раз исключая один инцидент из обучающего набора.

Сначала для каждого из N инцидентов мы обучаем взвешенный средний поведенческий профиль, используя метод, описанный в предыдущем разделе, на подмножестве N1 инцидентов (обучающий набор), где исключенный инцидент является тестовым набором. Во-вторых, модель симулируется для 500 Монте-Карло репликаций для каждого из N инцидентов, используя соответствующий обученный поведенческий профиль в качестве его поведения (т.е. 1 LPT вместо исходных 462). Результатом LOOCV являются N значений энергетической статистики, которые могут быть сравнены с исходными энергетическими статистиками.

Чтобы продемонстрировать валидность подгонки модели, энергетические статистики из LOOCV должны быть статистически «лучше», чем исходные энергетические статистики из «необученных» данных. Чтобы увидеть это, мы вычисляем перцентиль энергетических статистик LOOCV среди 462 исходных энергетических статистик. Результаты показывают, что 58,5% из N IPP имеют значения энергетической статистики выше 95-го перцентиля, а 98,5% — выше 50-го перцентиля. Это означает, что средний поведенческий профиль очень хорошо описывает данные более чем половины SAR-инцидентов, на которых он не обучался, и в целом хорошо работает для всех инцидентов.

Обсуждение

Модель, представленная в этой статье, разработана для описания динамики поведения потерявшихся людей на основе поведенческих эвристик на различных ландшафтах с использованием реальных данных. Основываясь на качестве анализа методом исключения одной выборки, средний поведенческий профиль хорошо описывает туриста в различных ландшафтах. В частности, взвешенный средний поведенческий профиль обеспечивает очень хорошее соответствие более чем половине инцидентов и работает лучше, чем большинство поведенческих профилей, почти для всех инцидентов. Мы подчеркиваем, что этот анализ проверяет способность модели прогнозировать данные, на которых она не обучалась. Таким образом, средний поведенческий профиль представляет собой описание поведения потерявшегося человека, которое больше не зависит от каких-либо конкретных особенностей ландшафта. Это предполагает, что такой профиль, который также может быть аналогично создан для потерявшихся людей других категорий, таких как дети или люди с деменцией, может быть использован во время активных поисков для прогнозирования областей, где потерявшегося человека, скорее всего, найдут.

Соотнося наши выводы с реальным миром, значения среднего поведенческого профиля p_athrm {hiker} соответствуют тому, что мы знаем о поведении туристов. Туристы, вероятно, используют поведенческие стратегии, которые позволяют им преодолевать большие расстояния и часто находятся под влиянием окружающей местности. Наблюдается, что треть потерявшихся туристов поднимается на большую высоту, чтобы улучшить свой обзор, но многие предпочитают четкий путь, такой как тропа, крутому склону. Модель профиля туриста отражает некоторые из этих распространенных поведений. Лучший профиль включает более 50% движения в заданном направлении, которое позволяет агенту двигаться дальше всех остальных. Вторым по распространенности поведением является движение по маршруту, что означает, что агент использует линейные особенности ландшафта для навигации по местности. Из-за несколько извилистых траекторий смоделированных агентов нас не удивляет, что наиболее часто используемыми стратегиями являются движение по маршруту и движение в заданном направлении. Из всех шести стратегий, эти позволяют агенту преодолевать наибольшие расстояния по карте, чтобы достичь мест обнаружения.

Помимо среднего профиля туриста, результаты модели генерируют эффективную скорость ходьбы агента путем сравнения времени до ближайшей точки для каждого p и расстояния d от IPP до места обнаружения. На рис. 8 показано среднее время (усредненное по репликациям) в зависимости от расстояния для каждого инцидента. Мы замечаем, что данные плотные и, кажется, линейно увеличиваются для расстояний менее 4 км; для расстояний более 4 км данные становятся более разреженными и кажутся относительно постоянными. Учитывая эти два режима, мы подгоняем данные для инцидентов с d менее 4 км с использованием MATLAB Curve Fitting Toolbox и находим линейную зависимость, t=4.31d+13.31, с R^2=0.4383. Наклон линии используется для вычисления результирующей эффективной скорости модели LP, которая составляет 0.064athrm {м/с}. Обратите внимание, что по сравнению с максимальной скоростью ходьбы 1.575athrm {м/с}, которая является биомеханически реалистичной для пешеходов, эффективная скорость очень мала. Это не совсем удивительно из-за сложной природы траекторий смоделированного агента, и мы предполагаем, что скорость увеличится за счет включения большей памяти в каждый обновленный временной шаг через инерцию. Относительно постоянное время до ближайшей точки для инцидентов с большими значениями d предполагает, что лежащий в основе набор данных отражает усталость потерявшегося человека. Поскольку значения времени насыщаются примерно при 35 часах, мы ожидаем, что существует максимальное время, в течение которого потерявшийся человек остается подвижным. Эта идея поддерживается ISRID, и многие модели подвижности пытаются оценить пройденное расстояние на основе времени и энергии, затрачиваемых на навигацию по местности. В частности, Тоблер оценивал скорость передвижения как функцию движения пешехода и уклона местности. Эти методы расчета затрат и расстояний в сочетании с влиянием импенданса земного покрова показали, что они предоставляют руководство при определении вероятности площади, но в конечном итоге они игнорируют поведение потерявшегося человека. Мы надеемся изучить подвижность в расширениях этой модели.

Хотя эти результаты дают веские основания полагать, что используемые нами методы генерируют хорошее представление о поведении потерявшихся людей, ограничения возникают из-за использования данных SAR-инцидентов, зарегистрированных в ISRID. Во-первых, данные о потерявшихся людях трудно получить, поскольку многие инциденты остаются нераскрытыми, так как большинство потерявшихся людей в конечном итоге находят дорогу обратно. Это означает, что определенные типы потерявшихся людей могут быть представлены в данных в избытке. В зарегистрированных инцидентах реальные траектории потерявшегося человека редки, поскольку маловероятно, что у потерявшегося человека будет отслеживающее устройство. Имея реальные траектории, мы могли бы подогнать модель к этим траекториям, а не только к IPP и местам обнаружения. Данные в наборе данных также не имеют временной привязки. В «Lost Person Behavior» категории потерявшихся людей имеют показатель под названием «подвижность» для описания времени, в течение которого потерявшийся человек был подвижен, но эта переменная часто искусственно короче, чем в реальности, поскольку многие потерявшиеся люди остаются подвижными при обнаружении. Из-за этого мы решили запускать модель в течение длительного времени и использовать ближайшую точку траектории для подгонки в нашем анализе. Отсутствие временной привязки в данных об инцидентах также означает, что используемые нами слои карты могут не всегда отражать тот же ландшафт, что и во время инцидента. Кроме того, модель игнорирует тип поверхности и ограничения видимости, которые, как известно, влияют на навигацию, а также на скорость ходьбы. Наконец, профили для других LPT имеют более разреженные данные, чем для туристов, что ограничивает реализацию метода моделирования и подгонки, описанного в этой статье.

Выводы

Данное исследование описывает первую динамическую модель поведения потерявшихся людей, которая учитывает известные стратегии реориентации и основана на данных реальных SAR-инцидентов. Эта модель уникальна не только благодаря использованию данных SAR-инцидентов, но и благодаря учету как особенностей ландшафта, так и стратегий поведения. Наши результаты, полученные в результате анализа методом исключения одной выборки, показывают, что средний поведенческий профиль, который мы генерируем для туриста, хорошо описывает особенности SAR-инцидентов, на которых он не обучался. Модель здесь представляет собой прочную основу для будущей работы. Мы можем представить множество расширений, включая добавление большего количества типов потерявшихся людей и реализацию более реалистичной эффективной скорости агента. Путем включения памяти на более чем один предыдущий временной шаг траектории станут более плавными и, возможно, более реалистичными для идущего человека. Кроме того, вместо постоянной скорости ходьбы мы можем ввести переменную скорость в зависимости от местности и LPT. Другим аспектом, который следует учитывать в будущей работе, являются конкретные демографические характеристики потерявшегося человека, включая возраст, пол и то, был ли агент один или в группе. Погода также играет большую роль в том, где будет найден потерявшийся человек. Эта работа предлагает первый шаг в определении динамических моделей для потерявшихся людей, которые могут быть адаптированы для содействия современным SAR-усилиям.

Данные для исследования

Данные, сгенерированные для этого исследования, включены в виде файлов из дополнительных материалов.

Ссылки

Скачать ссылки.

Благодарности

Авторы хотели бы поблагодарить Тяньцзы Ван за помощь в генерации карт, Advanced Research Computing в Virginia Tech за предоставление вычислительных ресурсов, которые способствовали получению результатов, представленных в данной статье, и Graduate School в Virginia Tech за поддержку в виде стипендии Cunningham Doctoral Scholarship для А.Х. Эта работа поддержана Национальным научным фондом по гранту CNS1830414.

Информация об авторах

Авторы и аффилиации:

  • Программа инженерной механики, Virginia Polytechnic Institute and State University, Blacksburg, VA, 24061, USA: Аманда Хашимото
  • Кафедра электротехники и вычислительной техники, Virginia Polytechnic Institute and State University, Blacksburg, VA, 24061, USA: Ларкин Хайнцман
  • dbS Productions LLC, Charlottesville, VA, 22911, USA: Роберт Кёстер
  • Школа окружающей среды, географии и геонаук, Университет Портсмута, Портсмут, P01 2UP, UK: Роберт Кёстер
  • Кафедра математики, Virginia Polytechnic Institute and State University, Blacksburg, VA, 24061, USA: Николь Абайд

Вклад авторов:

Концептуализация: А.Х. и Н.А. Курирование данных: А.Х., Л.Х. и Р.К. Формальный анализ: А.Х. и Н.А. Приобретение финансирования: Н.А. Методология: А.Х. и Н.А. Программное обеспечение: А.Х. и Л.Х. Визуализация: А.Х. Написание оригинального черновика: А.Х. Написание, рецензирование и редактирование: А.Х. и Н.А. Все авторы ознакомились с рукописью.

Связанный автор

Корреспонденция с Николь Абайд.

Декларации об этике

Конфликты интересов

Авторы заявляют об отсутствии конфликтов интересов.

Дополнительная информация

Примечание издателя: Springer Nature остается нейтральной в отношении юрисдикционных претензий в опубликованных картах и аффилиациях учреждений.

Дополнительная информация:

  • Дополнительная информация 1.
  • Дополнительная информация 2.
  • Дополнительная информация 3.
  • Дополнительная информация 4.

Права и разрешения

Открытый доступ Эта статья лицензирована в соответствии с Международной лицензией Creative Commons Attribution 4.0, которая разрешает использование, обмен, адаптацию, распространение и воспроизведение на любом носителе или в любом формате, при условии, что вы должным образом указываете автора(ов) и источник, предоставляете ссылку на лицензию Creative Commons и указываете, были ли внесены изменения. Изображения или другие материалы третьих лиц, включенные в статью, включены в лицензию Creative Commons статьи, если иное не указано в кредитной строке к материалу. Если материал не включен в лицензию Creative Commons статьи, и ваше предполагаемое использование не разрешено законодательным положением или превышает разрешенное использование, вам необходимо получить разрешение непосредственно у правообладателя. Чтобы просмотреть копию этой лицензии, посетите http://creativecommons.org/licenses/by/4.0/.

Репринты и разрешения

Об этой статье

Цитировать эту статью: Hashimoto, A., Heintzman, L., Koester, R. et al. An agentbased model reveals lost person behavior based on data from wilderness search and rescue. Sci Rep 12, 5873 (2022). https://doi.org/10.1038/s41598022095024

Скачать цитирование

Получено: 09 июня 2021 г. Принято: 16 марта 2022 г. Опубликовано: 07 апреля 2022 г. Версия записи: 07 апреля 2022 г.

DOI: https://doi.org/10.1038/s41598022095024

Поделиться этой статьей

Любой, кто поделится следующей ссылкой, сможет прочитать этот контент: Получить ссылку для совместного использования. Извините, ссылка для совместного использования в настоящее время недоступна для этой статьи. Скопировать ссылку для совместного использования в буфер обмена. Предоставлено инициативой Springer Nature SharedIt по обмену контентом.

Короткие версии статей можно найти в телеграм-канале.

Посмотреть канал
Кликните еще раз для перехода

Шампунь Клоран с Крапивой – уход для жирных волос

Клоран шампунь с крапивой эффективно контролирует жирность волос, нормализует работу сальных желез и...

Nutridrink Compact Protein Персик-Манго — Питание для взросл...

Nutridrink Compact Protein со вкусом персик-манго — высокобелковая питательная смесь для взрослых с ...

Масло зародышей пшеницы Aroma Touch - уход за кожей и волоса...

Натуральное косметическое масло зародышей пшеницы Aroma Touch для восстановления кожи и волос. Содер...

Розовая косметическая глина 100 г — уход и очищение кожи

Розовая косметическая глина 100 г — натуральное средство для бережного ухода за кожей лица и тела. О...

Эфирное масло мяты Стикс 10 мл — купить для ароматерапии

Эфирное масло мяты Стикс 10 мл — натуральный продукт из Австрии для ароматерапии и ухода. Освежает к...

Акулий жир крем для ног от варикоза и отеков с акацией, 75 м...

Крем для ног «Акулий жир» с экстрактом акации эффективно борется с ощущением тяжести, отеками и вари...