
Интересное сегодня
Влияние скорости ходьбы на контроль и принятие решений при в...
Введение Способность успешно выполнять одновременно две задачи, например, ходить и общаться по телеф...
Как тепло помогает снизить тревожность при анорексии: научно...
Введение Нервная анорексия (НА) — тяжёлое психическое расстройство, преимущественно поражающее девуш...
Этические риски романтических отношений с ИИ: как искусствен...
Человек и машина: новая эра эмоциональных связейС развитием технологий искусственного интеллекта (ИИ...
Влияние уровня кортизола на риск болезни Альцгеймера у женщи...
Введение Исследование, проведенное Университетом Техаса в Сан-Антонио, выясняет, как уровень кортизо...
Как вести сложные разговоры с детьми о Рождестве
Рождество часто приносит в наш дом непростые разговоры. Я думала, что с возрастом дети перестанут за...
Влияние Совместного Воспитания на Просоциальное Поведение Де...
Просоциальное поведение включает действия, такие как забота, помощь и совместное использование, кото...
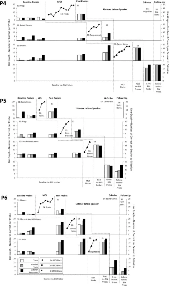
Введение в бидирекциональное называние (BiN)
Бидирекциональное называние (BiN) — это процесс интеграции слушательских и говорящих реакций в поведении человека. Оно включает в себя:
- Слушательские реакции: указание, ориентацию или выбор объекта по запросу.
- Говорящие реакции: такты (называние объекта в его присутствии) и эхолалии (вокальная имитация).
Для избежания путаницы с простым называнием, Мигель (2016, 2018) предложил термин бидирекциональное называние (BiN), который мы используем в данной статье.
Типы BiN
Обычное бидирекциональное называние (CBiN)
CBiN проявляется, если обучение слушательским реакциям приводит к возникновению говорящих реакций, или наоборот (Мигель, 2016).
Случайное бидирекциональное называние (IncBiN)
IncBiN возникает, когда и слушательские, и говорящие реакции появляются после тактирования нового стимула другим человеком. Например, если родитель говорит: «Смотри, какой красивый сапфир», ребенок может:
- Показать на сапфир, когда его спросят: «Где сапфир?» (слушательская реакция).
- Повторить «сапфир» (эхолалия).
- Назвать сапфир в его присутствии (такт) или ответить на вопрос «Что это?» (мандированный такт).
IncBiN также включает навыки совместного внимания, такие как указание на объект или привлечение внимания других к нему.
Значение IncBiN
IncBiN является важным пререквизитом для:
- Развития языка и символического вербального поведения.
- Навыков категоризации стимулов.
- Быстрого роста словарного запаса у детей.
- Обучения через наблюдение.
Дети с аутизмом часто не демонстрируют IncBiN, что делает его критически важным навыком для обучения.
Методы обучения IncBiN
Обучение через множественные примеры (MOI)
MOI — это метод, при котором разные операнты (слушательские и говорящие реакции) чередуются в рамках одного набора стимулов. Например:
- Слушательские реакции: выбор объекта по инструкции.
- Говорящие реакции: такты и мандированные такты.
MOI успешно применяется у детей с аутизмом и задержкой речевого развития.
Роль повторяющихся проб
Повторяющееся тестирование IncBiN после «опыта называния» (например, сопоставления стимулов с их названиями) может улучшить навыки BiN даже без MOI.
Результаты исследований
В исследовании участвовали 9 мальчиков с аутизмом или задержкой развития. Основные выводы:
- Повторяющиеся пробы улучшили IncBiN у 2 из 3 участников.
- MOI ускорило развитие IncBiN у всех участников, которым оно было применено.
- Последовательность тестирования (слушательские или говорящие реакции первыми) слабо влияла на результаты.
- Долгосрочное сохранение навыков IncBiN было ограниченным.
Ограничения и будущие исследования
Ограничения исследования:
- Не учитывалась роль эхолалий во время «опыта называния».
- Стимулы могли быть недостаточно мотивирующими для детей.
Будущие исследования должны изучить:
- Роль саморечи (разговора с собой) во время обучения.
- Влияние мотивационных операций на IncBiN.
- Эффективность разных методов «опыта называния».
Заключение
Повторяющиеся пробы и MOI эффективны для развития IncBiN у детей с аутизмом. Однако для долгосрочного сохранения навыков требуются дополнительные исследования. Обучение IncBiN должно быть приоритетом в программах поведенческого вмешательства.