Боль в спине, шее, плечах и психическое здоровье: как это влияет на больничные и переход на пенсию по инвалидности

Боль в спине, шее, плечах и психическое здоровье: как это влияет на больничные и переход на пенсию по инвалидности

Интересное сегодня

Как уменьшить вариативность броска в бейсболе: анализ коррек...

ВведениеТочный и быстрый бросок мяча в цель — это сложный двигательный навык, характерный для челове...

Модели распространения слухов и антислухов на основе квантов...

ВведениеИнтернет, обладая свойствами открытости, доступности и оперативности, значительно ускоряет р...

Связь между стрессом, связанным с бесплодием, и качеством жи...

Бесплодие не является смертельным заболеванием, но оно вызывает значительный стресс, связанный с бес...

Как стресс влияет на сон и память: открытие нейронного пути

Стресс не только ухудшает качество сна, но и негативно влияет на память. Исследование, проведенное п...

Как на самом деле работают эмоции на лице: развенчание мифов...

Введение: миф о «чтении» эмоций по лицу Многие люди уверены, что могут напрямую «читать» эмоции друг...

Нормальное распределение (Колоколообразная кривая): Основные...

Введение в нормальное распределение (колоколообразная кривая) Колоколообразная кривая, также известн...

Рисунок 1
Рисунок 1
Рисунок 2
Рисунок 2
Рисунок 3
Рисунок 3
Рисунок 4
Рисунок 4
Thumbnail 1
Thumbnail 2
Thumbnail 3
Thumbnail 4
Thumbnail 5
Thumbnail 6
Thumbnail 7
Оригинал исследования на сайте автора

Введение: боль и психические расстройства как факторы нетрудоспособности

Боль в различных частях тела и распространенные психические расстройства (Common Mental Disorders, CMDs), к которым относятся депрессия и тревожность, являются распространенными проблемами среди населения трудоспособного возраста. Эти симптомы могут приводить не только к индивидуальным страданиям, но и к временной нетрудоспособности (sickness absence, SA) или даже к назначению пенсии по инвалидности (disability pension, DP). Однако знания о факторах, влияющих на переходы между состоянием трудоспособности, временной нетрудоспособностью и переходом на пенсию по инвалидности среди людей с болью или психическими расстройствами, все еще недостаточны.

Помимо возраста, пола, состояния здоровья и социально-экономического статуса, семейные факторы (генетика и общая семейная среда в детстве) также могут влиять на переходы к временной нетрудоспособности и из нее, поскольку предыдущие исследования показали, что генетика важна как для опорно-двигательной боли, так и для психических расстройств, а также для временной нетрудоспособности и пенсии по инвалидности. Следовательно, longitudinal twin study (лонгитюдное близнецовое исследование), оценивающее переходы (сдвиги) к временной нетрудоспособности и из нее, или к пенсии по инвалидности, было бы целесообразным.

Методология исследования

Исходная популяция и критерии отбора

Это исследование основано на близнецах из Swedish Twin project Of Disability pension and Sickness absence (STODS) — Шведского близнецового проекта по пенсиям по инвалидности и временной нетрудоспособности. Близнецы были идентифицированы через Swedish Twin Registry (STR) — Шведский регистр близнецов, и в исследование были включены те, кто участвовал в телефонном интервью Screening Across the LifeSpan Twin (SALT), проводившемся в период с 1998 по 2003 год, или в исследовании Study of Twin Adults: Genes and Environment (STAGE), проводившемся STR в период с 2004 по 2006 год.

Зиготность определялась с помощью вопросов о сходстве пар близнецов в детстве, и этот метод показал точность 98% и выше при генетическом тестировании в двух подвыборках STR. Из исходной популяции были включены лица в возрасте до 65 лет, живые, проживающие в Швеции и не получавшие пенсию по инвалидности или не находившиеся на больничном при ответе на опросы (на момент начала исследования, baseline), или в год до этого.

Данные регистров

Данные регистров были получены из трех национальных источников: эпизоды временной нетрудоспособности (продолжительностью > 14 дней) и пенсии по инвалидности с 1994 года по 31 декабря 2013 года из базы данных MicroData for Analyses of Social insurance (MiDAS) Агентства социального страхования Швеции (SIA).

Все лица в Швеции с доходом от работы или социальных пособий в возрасте старше 16 лет охвачены национальной схемой страхования на случай болезни для получения пособий по временной нетрудоспособности, а все лица старше 19 лет — для получения пенсии по инвалидности.

Пособия по временной нетрудоспособности и пенсии по инвалидности покрывают до 80% и 65% потерянного дохода соответственно в случае потери трудоспособности по медицинским причинам. Более короткие периоды временной нетрудоспособности (< 15 дней) не регистрируются в национальных регистрах, поэтому в это исследование были включены только более длительные периоды.

Оценка воздействия: боль и психические расстройства

Воздействие оценивалось на основе самоотчетов о боли и симптомах психических расстройств из опросов SALT и STAGE. Боль в спине, шее или плечах оценивалась отдельно с помощью вопросов: «Были ли у вас боли в спине, шее или плечах за последние 12 месяцев?» (да/нет). Для анализа боль определялась как наличие боли как минимум в двух из трех локализаций (спина, шея, плечи) для увеличения специфичности и серьезности состояния.

Распространенные психические расстройства оценивались с помощью 10-пунктовой версии опросника General Health Questionnaire (GHQ) или 12-пунктовой версии опросника Symptom Checklist (SCL) для STAGE и SALT соответственно. Для GHQ пороговое значение ≥ 4 использовалось для определения случая CMD, а для SCL — ≥ 1,75 для мужчин и ≥ 1,85 для женщин. На основе ответов были созданы четыре группы воздействия:

  • Боль: наличие боли как минимум в двух локализациях и отсутствие CMD.
  • CMD: наличие CMD и отсутствие боли как минимум в двух локализациях.
  • Боль и CMD: наличие как боли (≥2 локализаций), так и CMD.
  • Незатронутые (unexposed): отсутствие CMD и боль не более чем в одной локализации.

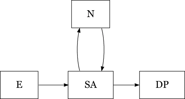
Состояния временной нетрудоспособности

Состояния в этом исследовании были следующими:

  • Вход [E]: начало исследования (baseline), не на больничном и не на пенсии по инвалидности на момент начала или в течение предшествующего года.
  • Получение пособий по временной нетрудоспособности [SA]: полных или частичных, по любому диагнозу.
  • Не на больничном [N]: считается доступным для рынка труда.
  • Назначение пенсии по инвалидности [D]: поглощающее состояние (absorbing state).

В течение периода наблюдения человек мог переключаться между состояниями нахождения на больничном (SA) и трудоспособности (N).

Статистический анализ

Использовалась описательная статистика, и применялись multistate models (многостадийные модели) для исследования переходов individuals между состояниями. Событиями интереса были вероятности переходов между включенными состояниями. Поскольку это исследование включало данные двух опросов с участниками широкого возрастного диапазона, корректировка на потенциальные когортные эффекты проводилась с использованием категорий года рождения. Все анализы также были скорректированы по полу.

В многостадийной модели переходы между состояниями выражались функциями риска (hazard functions) для всех возможных переходов. Использовалась semi-parametric reversible multistate Cox’s regression model (полупараметрическая обратимая многостадийная модель регрессии Кокса) для оценки эффекта воздействия на следующие переходы:

  • От начала исследования/входа к временной нетрудоспособности (E → SA).
  • От состояния «не на больничном» (доступен для рынка труда) к временной нетрудоспособности (N → SA).
  • От временной нетрудоспособности к состоянию «не на больничном» (доступен для рынка труда) (SA → N).
  • От временной нетрудоспособности к пенсии по инвалидности (SA → DP).

Результаты исследования

Характеристики участников

Среди тех, кто участвовал в опросе SALT или STAGE, 93% (41 516/44 608) ответили на пункты о боли и CMD. Средний возраст на момент начала исследования составил 43,5 года. Описательная статистика на момент начала исследования для всех individuals по группам воздействия показала, что те, у кого не было боли или CMD, сообщали о лучшем самооценке здоровья по сравнению с теми, кто сообщал о боли или CMD. Университетское образование было более распространено среди незатронутых или только с CMD по сравнению с теми, кто сообщал о боли или имел комбинацию боли и CMD.

Вероятности переходов по состояниям временной нетрудоспособности и группам воздействия

В общей сложности 39% от общей популяции исследования перешли на больничный хотя бы один раз durante follow-up. Прямых переходов к пенсии по инвалидности от точки входа и от состояния N к DP было мало. Среднее время наблюдения составило 8,7 лет.

В полностью скорректированной модели коэффициенты риска (Hazard Ratios, HR) были схожи для переходов E→SA, N→SA и SA→N для тех, у кого была боль и CMD соответственно. Риск перехода от SA к DP был выше среди тех, кто сообщал о боли, чем среди тех, кто сообщал о CMD. Самые высокие HR были обнаружены для переходов E→SA и SA→DP среди тех, у кого были и боль, и CMD.

Наибольший риск перехода на больничный и последующего перехода на пенсию по инвалидности наблюдался у людей с комбинацией боли в опорно-двигательном аппарате и психических расстройств.

Влияние семейных факторов на переходы временной нетрудоспособности

Результаты условного многостадийного анализа полных однополых пар близнецов показали больший HR между экспонированными и неэкспонированными для дизиготных (DZ) близнецов по сравнению с монозиготными (MZ), когда близнецы испытывали первый переход к состоянию SA от точки входа. Аналогичная закономерность была показана для обратимых состояний N→SA. HR были схожими и статистически не значимыми для пар близнецов DZ и MZ для переходов SA→N и для перехода к поглощающему состоянию DP.

Результаты позволяют предположить, что генетические факторы влияют на experiencing a first SA после начала исследования, меньше — когда начинается обратимый процесс (≥2 эпизода SA), и совсем не влияют, когда SA приводит к DP.

Обсуждение результатов

В этом исследовании мы изучили вероятности перехода к временной нетрудоспособности и из нее, а также к пенсии по инвалидности среди шведских близнецов с самоотчетной историей боли в шее, спине или плечах или CMD (депрессия и тревожность), или с комбинацией боли и CMD. Мы обнаружили, что те, у кого было как минимум два участка боли, или CMD, или комбинация боли и CMD, имели более высокий риск перехода между различными состояниями SA по сравнению с теми, кто не был подвержен боли и/или CMD.

Наши результаты согласуются с другими исследованиями, показывающими, что люди с хроническими заболеваниями имеют повышенный риск SA, но также и то, что предыдущий SA увеличивал риск перехода от работы к SA, от SA к безработице, от работы к безработице и от работы к DP. Ранее идентифицированные факторы риска подтвердились: женский пол, старшие возрастные группы, плохая самооценка здоровья или низкое образование были влиятельными факторами риска.

Сильные стороны и ограничения

Сильные стороны включают национальные регистровые данные о SA и DP без потерь для последующего наблюдения. Кроме того, размер выборки был большим, включая тех, у кого не было SA или DP на момент начала исследования или за год до начала наблюдения. Поскольку это исследование включало пары близнецов, появилась возможность учесть роль семейных влияний в дополнение к социодемографическим факторам.

Ограничения включают то, что наши выводы основаны на самоотчетах о боли в опорно-двигательном аппарате верхней части тела и CMD и не могут быть использованы для получения информации о medically confirmed and diagnosed disorders. Кроме того, мы не смогли включить информацию о продолжительности и тяжести боли, поскольку такая информация отсутствовала.

Выводы

В заключение, люди, испытывающие боль в опорно-двигательном аппарате и/или CMD, имеют более высокий риск перехода на больничный, experiencing repeated SA episodes и перехода на пенсию по инвалидности по сравнению с теми, кто не страдает от боли и CMD. Наши findings позволяют предположить, что факторы здоровья и демографии играют роль в вероятностях переходов SA в population трудоспособного возраста, а семейные факторы в основном влияют на переход к первому и повторяющемуся SA.

Короткие версии статей можно найти в телеграм-канале.

Посмотреть канал
Кликните еще раз для перехода

Солгар Модулятор Глюкозы – контроль сахара в крови

Солгар Модулятор Глюкозы – комплекс витаминов, минералов и растительных экстрактов для поддержки нор...

BlueM зубная паста гелевая с активным кислородом 75 мл

Зубная паста BlueM с активным кислородом мягко очищает эмаль, помогает поддерживать здоровье десен и...

Пантодерм мазь 5% 30 г — регенерация и уход

Пантодерм мазь 5% в тубе 30 г — средство для ускорения регенерации кожи и улучшения её состояния. Со...

Винпоцетин таблетки 5 мг №50 — улучшение мозгового кровообра...

Винпоцетин таблетки 5 мг №50 — лекарственное средство для улучшения мозгового кровообращения и подде...

Эфирное масло пихты Аспера 10 мл – ароматерапия, польза, имм...

Эфирное масло пихты Аспера 10 мл применяется для ароматерапии, ингаляций и ухода за кожей. Натуральн...

Weleda Молочко Для Тела Роза 200Мл — Уход и Увлажнение

Гармонизирующее молочко для тела Weleda с розой — натуральное средство для ежедневного ухода. Увлажн...