
Интересное сегодня
Связь группы крови и резус-фактора с риском аутизма: результ...
ВведениеРасстройство аутистического спектра (РАС) — это нарушение нейроразвития, характеризующееся д...
Сложности одиночества на Новый год
Сложности одиночества на Новый годПарни и девушки часто говорят, что их планы на Новый год действите...
Как музыка влияет на эмоции и память
Музыка и ее воздействие на память Музыка не только влияет на наши чувства, но и может изменять воспо...
Влияние невнимательности на тревожность у девочек с ADHD
Влияние невнимательности на тревожность у девочек с ADHD Новое исследование показало, что у девочек ...
Выгорание католических священников в Бразилии: исследование ...
Введение в проблему выгорания духовенства Pacciolla и Sanagiotto (2022) провели описательное исследо...
Исследование связи между исполнительными функциями и эмоцион...
Эмоциональная гранулярность и её значение Эмоциональная гранулярность, или эмоциональная дифференциа...
Введение
Размер словарного запаса — ключевой показатель языковой компетенции, влияющий на понимание текста, беглость речи и скорость распознавания слов. Однако словарный запас неоднороден и делится на рецептивный (пассивный) и продуктивный (активный). Большинство тестов оценивают именно рецептивный словарь, так как он формируется через чтение и аудирование.
Обзор литературы
Методы тестирования словарного запаса
Существует несколько подходов к измерению словарного запаса:
- Бумажные тесты (например, Vocabulary Levels Test).
- Субтесты шкалы интеллекта Векслера.
- Peabody Picture Vocabulary Test (PPVT) — тест на соотнесение слова с изображением.
- LexTale — задача на лексическое решение (определение реальных слов среди псевдослов).
Компьютерное адаптивное тестирование (CAT)
CAT, основанное на теории ответов на вопросы (Item Response Theory, IRT), автоматически подбирает сложность заданий в зависимости от ответов испытуемого. Это повышает точность и сокращает время тестирования. Примеры успешных адаптивных тестов — AoVST для русского языка и его аналоги для других языков.
Методология исследования
Дизайн теста PVST
PVST использует три типа заданий:
- Бинарные (да/нет — знаете ли вы слово?).
- Множественный выбор (выбор синонима среди дистракторов).
- Псевдослова для контроля внимания.
Тест адаптирует сложность заданий на основе предыдущих ответов, что позволяет точно оценить словарный запас за 2–3 минуты.
Отбор стимулов
Слова для теста отбирались по частоте употребления в корпусе plTenTen19, охватывающем современный польский язык. Дополнительно учитывались:
- Отсутствие узкоспециализированной лексики.
- Проверка по словарям PWN и Национальному корпусу польского языка (NKJP).
Результаты
Анализ по модели Раша
Тест показал высокую надежность (STRATA = 9.5), что означает возможность разделения испытуемых на 9 уровней владения языком. Средние значения infit/outfit близки к 1.0, что подтверждает соответствие заданий модели IRT.
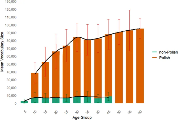
Сравнение носителей и изучающих язык
Носители польского языка демонстрируют значительно больший словарный запас (M = 75,125 слов) по сравнению с изучающими (M = 7,165 слов). Также выявлена корреляция между возрастом и словарным запасом у носителей (r = 0.496), но не у изучающих.
Ограничения
Исследование имеет несколько ограничений:
- Самостоятельный сбор данных мог привести к неточностям в возрасте и статусе носителя.
- Набор стимулов требует дальнейшей балансировки по сложности.