
Интересное сегодня
Выборочное распределение в статистике: теория и практика
Выборочное распределение в статистике В статистике выборочное распределение — это распределение веро...
Иерархическая организация физической активности человека: но...
Введение Актиграфия — неинвазивный метод, основанный на регистрации ускорения предплечья с помощью з...
Как связаны СДВГ и чувство стыда: причины и способы исцелени...
Почему СДВГ и стыд так тесно связаны «Я опять пропустил дедлайн. Не могу заглянуть в почту. Чувствую...
Комплекс спасателя: как он влияет на ваши отношения
Комплекс спасателя: как он влияет на ваши отношенияЭто начинается с малого — желания помочь, быть ря...
Эффективность психологической терапии для лечения депрессии ...
Введение Инсульт является второй по значимости причиной смертности и третьей по значимости пр...
Безопасность передвижений на электросамокатах: Эффективные з...
Введение В последние годы наблюдается значительный рост использования электросамокатов в городских у...
Введение в проблему депрессии
Большое депрессивное расстройство (БДР) является одним из наиболее распространенных аффективных расстройств, поражающим более 264 миллионов человек по всему миру. Оно стало настолько распространенным, что 1 из 15 взрослых страдает от него в течение года. Депрессия влияет на то, как человек чувствует, думает и действует. Ее основные симптомы включают печаль и чувство ангедонии, то есть потерю интереса к деятельности, которая раньше приносила удовольствие, что приводит к снижению производительности труда и общей продуктивности. В крайней форме она может даже привести к самоубийству, которое является четвертой по значимости причиной смерти среди людей в возрасте 15–29 лет, и, согласно данным Всемирной организации здравоохранения, около 700 000 человек умирают из-за самоубийств каждый год.
Руминация как ключевой biomarker депрессии
Руминация была признана наиболее устойчивым и последовательным фактором, связанным с депрессивными симптомами. Согласно Теории стилей реагирования, руминация характеризуется чрезмерной сосредоточенностью на себе, а также повторяющимся и пассивным фокусом на своих негативных эмоциях. Руминация имеет важное значение для проявления, понимания и поддержания депрессивных эпизодов и, как было показано, продлевает и углубляет эпизоды депрессии, сохраняя подавленное настроение. Также было обнаружено, что она наиболее последовательно предсказывает депрессию и начало депрессии, что делает руминацию ключевым biomarkerом для понимания рецидивов.
Эмоциональная регуляция и обработка вознаграждения
Эмоциональная регуляция и обработка вознаграждения являются другими парадигмами, помимо руминации, которые использовались в исследованиях депрессии. Однако в этом исследовании мы сосредотачиваемся на руминации, поскольку это наиболее заметный симптом, который испытывает пораженный человек и окружающие его люди.
Методы исследования: ЭЭГ и машинное обучение
ЭЭГ-сигналы являются многомерными сигналами с низким отношением сигнал/шум. Инструменты, управляемые данными, такие как машинное обучение, использовались для поиска relevant patterns внутри групп данных, которые невозможно осмыслить человеку. Поскольку мы интересуемся рецидивами, мы работаем с данными здоровых людей, которые набирают более высокие баллы по различным опросникам, связанным с депрессией и ее симптомами, и, следовательно, более или менее уязвимы к расстройству, а не с клинически депрессивными individuals. Это исследование изучает, существуют ли значительные статистические различия между ЭЭГ-сигналами individuals в этих двух группах (высокая vs низкая уязвимость к депрессии), и может ли машинное/глубокое обучение помочь дифференцировать их с использованием данных ЭЭГ, соответствующих "ригидности" мыслей.
Задача устойчивого внимания к реакции (SART)
Руминацию можно вызвать в лабораторных условиях, например, в Задаче устойчивого внимания к реакции (SART), особенно когда ей предшествует валидированный социальный стрессор, такой как Трирское задание на социальный стресс, или когда участников спрашивают об их неудачах перед началом задания. Эти исследования показали, что депрессивные individuals сообщают о большем количестве случаев руминации (отвлечения от задачи). Более того, интересным аспектом негативной руминации, который recently привлек внимание, является "ригидность" мыслей: трудность отвлечения от мыслей вызывает prolonged и repeated обдумывание мыслей. Эта когнитивная переменная может быть надежным фактором в изучении неклинического проявления руминации.
Результаты исследования
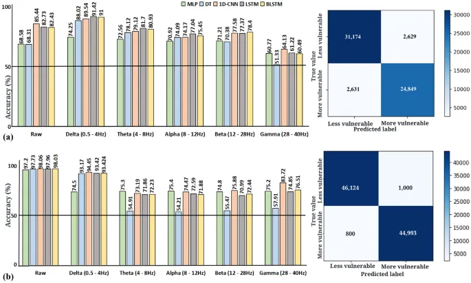
Сравнивая анализ между данными ЭЭГ в состоянии покоя и данными на основе задач, было обнаружено, что максимальная точность классификации для данных на основе задач (91,42%) ниже, чем максимальная точность, полученная из данных ЭЭГ в состоянии покоя (98,06%). Следовательно, если нужно ответить на основной вопрос о том, какие данные будут хороши для прогнозирования уязвимости к депрессии, ЭЭГ в состоянии покоя, по-видимому, лучше, чем данные ЭЭГ на основе задач. Однако, если необходимо понять механизмы, движущие депрессией, такие как руминация или ригидность, то данные на основе задач могут быть более эффективными.
Статистические различия в данных ЭЭГ
Мы обнаружили, что люди, более уязвимые к депрессии, в среднем имели повышенную активность в левом фронтальном канале и пониженную активность в правом фронтальном и затылочном каналах для необработанных данных (ЭЭГ в состоянии покоя). Также было обнаружено большое количество электродов, которые оказались статистически значимыми в дифференциации двух групп, и среди мозговых волн только дельта-волна (0,5–4 Гц) показала значительные различия между двумя группами. Эти findings противоречат большинству исследований, проведенных с клинически депрессивными individuals, которые считают тета- и низкие альфа-волны более значимыми.
Ключевые biomarkers уязвимости к депрессии
Эволюционные алгоритмы для выбора features
Поскольку существует множество biomarkers депрессии, мы использовали три эволюционных алгоритма для определения наиболее relevant подмножества features, которое может классифицировать, был ли sample данных от individual с высокой или низкой уязвимостью к группе депрессии. Мы обнаружили, что features HFD (Фрактальная размерность Хигучи), PLI (Index запаздывания фазы), correlation и coherence являются наиболее важными features. GWO (Оптимизация серых волков) дала максимальную точность 82,75% с features HFD и coherence, что является улучшением по сравнению с genetic algorithm и PSO (Оптимизация роя частиц). Это не только suggests, что biomarkers депрессии могут быть использованы для классификации individuals, склонных к депрессии, но также указывает на то, что несколько biomarkers могут быть использованы для достижения хорошей точности классификации.
Заключение и перспективы
С помощью этого исследования мы попытались провести сравнение между эффективностью использования данных ЭЭГ на основе задач и данных ЭЭГ в состоянии покоя для прогнозирования уязвимости к депрессии у individuals. Было обнаружено, что individuals, более уязвимые к депрессии, в среднем имели повышенную активность в правом височном канале и пониженную активность в левом фронтоцентральном и правом затылочном каналах для необработанных данных ЭЭГ в состоянии покоя. Данные на основе задач показали повышенную активность в центральной части мозга для individuals с низкой уязвимостью и повышенную активность в правых височных, затылочных и теменных областях у individuals, более уязвимых к депрессии. Также было обнаружено, что coherence, PLI, correlation и HFD могут быть ключевыми biomarkers (ЭЭГ в состоянии покоя) для дифференциации двух групп. Хотя необработанные данные ЭЭГ в состоянии покоя дали более высокую точность (98,06%), чем 91,42% для дельта-волн в данных на основе задач, производительность классификаторов была выше для данных на основе задач в тета-, альфа-, бета- и гамма- мозговых волнах. Эти результаты открывают новые возможности для будущей диагностики с помощью ЭЭГ с использованием машинного/глубокого обучения.