
Интересное сегодня
Кортизол в волосах у детей: как стресс влияет на психическое...
Долгосрочный стресс и психическое здоровье детей с хроническими заболеваниями Длительный стресс, из...
Прощение как антидот мести: Новые исследования объясняют, ка...
Некоторые люди, кажется, находятся в вечном туре мести. Их обидели в том, что большинство людей сочл...
Как стриосомы мозга влияют на принятие решений: новые открыт...
Роль стриатума в принятии решений Ученые из Медицинской школы Икан на горе Синай совместно с исследо...
Влияние плацебо на эмоциональную обработку и когнитивный кон...
Введение Существует продолжающаяся дискуссия о влиянии ожиданий пациентов на эффективность лечения а...
Как восприятие опыта и агентства влияет на альтруизм и довер...
Введение С развитием искусственного интеллекта взаимодействие человека и машины выходит на новый уро...
Проблемы отчуждения среди бабушек и дедушек: Понимание и спр...
Изображение бабушки и дедушки: реальность и миф Классический образ бабушки или дедушки — это улыбающ...
Введение
Дизайн продукта отражает эстетические потребности, а восприятие его внешнего вида связано с глубокими психологическими процессами. Исследования показывают, что физиологические сигналы, такие как электроэнцефалограмма (EEG), электроокулограмма (EOG) и электрокардиограмма (ECG), могут отражать когнитивные различия в визуальном дизайне продуктов. Например, различные формы продуктов вызывают разные паттерны активности мозга, что можно измерить с помощью EEG.
Материалы и методы
Участники и оборудование
В эксперименте участвовали 20 водителей электромобилей (16 мужчин, 4 женщины) без психических заболеваний. Использовались:
- Портативный EEG-гарнитур Emotiv (частота дискретизации 128 Гц, 14 электродов).
- 50 изображений зарядных станций с криволинейным дизайном (MDCSS) и 50 — с прямоугольным (MDSSS).
Процедура
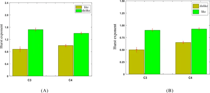
Участники оценивали изображения (3 секунды на каждое), нажимая кнопку «нравится» или «не нравится». Одновременно записывались EEG-сигналы в затылочной (O1, O2) и центральной (C3, C4) областях мозга.
Анализ данных
Для обработки EEG-сигналов применялся метод мультифрактального детрентированного флуктуационного анализа (MFDFA), который выявляет сложные нелинейные паттерны в сигналах. Основные этапы:
- Предварительная фильтрация сигналов (удаление шумов).
- Выделение θ-ритма (4–8 Гц) и β-ритма (12–32 Гц).
- Расчёт обобщённого показателя Хёрста и мультифрактального спектра.
Результаты
Субъективные оценки
Большинство участников предпочли криволинейный дизайн (75% положительных оценок), тогда как прямоугольный дизайн вызвал нейтральные или отрицательные реакции (65%).
Физиологические различия
Анализ MFDFA выявил:
- Для θ-ритма: При негативных эмоциях (неприязнь) — широкий диапазон показателя Хёрста и мультифрактального спектра, что указывает на высокую сложность сигнала.
- Для β-ритма: При позитивных эмоциях (интерес) — увеличение показателя Хёрста и ширины спектра, что связано с активностью коры мозга.
«Различия в EEG-характеристиках между двумя типами дизайна статистически значимы (p < 0.05)»
Обсуждение
Традиционные методы оценки дизайна (опросники) подвержены субъективным искажениям. Подход на основе EEG позволяет объективно измерить эмоциональный отклик. Криволинейные формы, как правило, вызывают более положительные эмоции, что согласуется с предыдущими исследованиями в области дизайна автомобилей и потребительских товаров.
Заключение
Использование MFDFA и EEG-анализа позволяет объективно оценить влияние формы зарядных станций на пользователей. Результаты могут помочь дизайнерам оптимизировать продукты для повышения удовлетворённости и рыночной конкурентоспособности.