
Интересное сегодня
Влияние платформенного лидерства на инновационное поведение ...
Введение В эпоху Четвертой промышленной революции, характеризующейся широким распространением цифров...
Взаимодействие эффектов SNARC и MARC: влияние когнитивного к...
ВведениеВ области числового познания широко признается тесная связь между числовым представлением и ...
Подростки-совы более импульсивны: новое исследование
Новое исследование, представленное на ежегодной конференции SLEEP 2025, обнаружило любопытную взаимо...
Человеческая культура уникальна своей бесконечностью
Новое исследование предлагает, что уникальная сила человеческой культуры заключается не в способност...
Как тревога из-за изменения климата влияет на депрессию у бе...
Влияние изменения климата на психическое здоровье Изменение климата признано одной из главных угроз ...
Как распространение теорий заговора влияет на репутацию: нау...
Репутационные последствия распространения теорий заговора Эта статья является второй частью серии, п...
Введение
Недостаток сна является распространённой проблемой, которая затрагивает людей всех возрастов и имеет серьёзные последствия для здоровья. Национальный фонд сна рекомендует взрослым спать от 7 до 9 часов в сутки, однако исследования показывают, что 20–30% взрослых спят менее 6 часов. Ожирение также является глобальной проблемой, и учёные предполагают связь между недостатком сна и повышенным риском ожирения.
Механизмы влияния сна на пищевое поведение
Одним из возможных объяснений этой связи является изменение пищевого поведения при депривации сна. Экспериментальные исследования показали, что недостаток сна увеличивает чувство голода, потребление калорий и неврологическую реакцию на пищевые стимулы. Однако точные механизмы остаются не до конца изученными.
Роль привычного контроля
Привычный контроль поведения — это автоматические реакции на стимулы, которые формируются через повторяющиеся ассоциации. При недостатке сна когнитивные ресурсы истощаются, что может усиливать привычное поведение, включая переедание.
Методы исследования
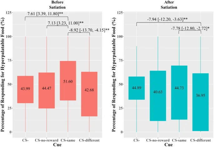
В исследовании приняли участие 96 взрослых, которые прошли два условия: ночь с нормальной продолжительностью сна (NSD) и ночь с полной депривацией сна (TSD). Использовался метод Павловского инструментального переноса (PIT) для оценки влияния условных стимулов на пищевое поведение.
Процедура эксперимента
Участники выполняли задания, в которых их реакции на пищевые стимулы фиксировались до и после насыщения. Также измерялись уровень голода, стресса и когнитивные функции.
Результаты
Исследование выявило значимое взаимодействие между сном, стимулами и насыщением. Однако эффект наблюдался только в условиях нормального сна (NSD) и исчезал после насыщения. Это противоречило первоначальной гипотезе, но согласуется с предыдущими исследованиями на животных.
Выводы
Результаты показывают, что депривация сна может нарушать выражение аппетитного поведения, но не усиливает привычный контроль. Это первое исследование, демонстрирующее роль сна в эффектах Павловского инструментального переноса.