
Интересное сегодня
Как две простые слова могут изменить ваш взгляд на трудности
Когда жизнь кажется подавляющейКогда жизнь кажется подавляющей, мы часто думаем, что наши трудности ...
Генетическое влияние на движения глаз у младенцев при просмо...
Введение Визуальное внимание является ключевым фактором взаимодействия младенцев с окружающим миром,...
Как избегание потерь влияет на принятие решений в социальных...
Введение Жизнь человека наполнена бесчисленными решениями, которые влияют как на него самого, так и ...
Стоит ли связываться с бывшим партнёром? Руководство по прин...
Решение о том, стоит ли связываться с бывшим партнёром, требует тщательного анализа ваших мотивов, п...
Как свобода выражения и защита от дискриминации влияют на пс...
Влияние политических и экономических условий на благополучие Политические и экономические условия, в...
Сенсорные подтипы у детей с аутизмом: влияние на моторику, п...
Введение Сенсорные особенности широко распространены среди людей с аутизмом (54–97%) и отличаются вы...
Введение в механизмы зрительного восприятия
Человеческая зрительная система обрабатывает визуальную информацию с высокой степенью пространственной неоднородности. Наше пространственное разрешение — способность различать мелкие детали — максимально в области фовеа (центральной ямки сетчатки) и снижается по мере удаления от центра (эксцентриситета). Важно отметить, что зрительное восприятие варьируется не только в зависимости от эксцентриситета, но и как функция полярного угла — так называемых «полей производительности»: в изоэксцентричных локациях зрительная производительность лучше на горизонтальном, чем на вертикальном меридиане (горизонтально-вертикальная анизотропия), и лучше на нижнем вертикальном меридиане, чем на верхнем (асимметрия вертикального меридиана).
Такие неоднородности по эксцентриситету и полярному углу были зафиксированы для различных зрительных задач и измерений, включая пространственное разрешение. Наше зрительное восприятие ограничено пространственным разрешением. Одним из способов компенсации этого ограничения являются быстрые движения глаз — саккады — для позиционирования поведенчески значимых стимулов в области фовеа, где у нас наивысшее разрешение.
Роль пресаккадического внимания
Интересно, что зрительное внимание смещается к цели саккады еще до начала движения глаз и избирательно приоритизирует зрительную обработку в предстоящем месте фиксации. Пресаккадическое смещение внимания, как сообщается, улучшает зрительную производительность, воспринимаемый контраст и контрастную чувствительность, а также изменяет сенсорную настройку базовых зрительных характеристик. Эти пресаккадические модуляции могут способствовать перцептивной стабильности — плавному переходу от пресаккадической (периферической) к постсаккадической (фовеальной) информации — делая периферическую репрезентацию более похожей на фовеальную в anticipation движений глаз.
Цели и методы исследования
Учитывая распространенность пресаккадического внимания в избирательной обработке зрительной информации и то, что пространственное разрешение резко меняется от фовеального к периферическому полю зрения, мы исследовали, изменяет ли пресаккадическое внимание пространственное разрешение.
Цель настоящего исследования была двуединой. Во-первых, мы исследовали, увеличивает ли пресаккадическое внимание пространственное разрешение с помощью задачи на остроту зрения. Во-вторых, мы изучили, взаимодействует ли этот эффект с известными асимметриями «полей производительности» по полярному углу — горизонтально-вертикальной анизотропией и асимметрией вертикального меридиана.
Экспериментальный дизайн
Мы измерили пороги остроты зрения в задаче на дискриминацию ориентации во время фиксации и подготовки к саккаде вокруг поля зрения. Участники выполняли задание на определение ориентации стимула Габора с полным контрастом, при этом мы регулировали пространственную частоту с использованием процедур адаптивного ступенчатого титрования, чтобы определить пространственную частоту, приводящую к 75% точности (порог остроты) — отдельно для каждой комбинации локации и условия движения глаз.
- Условие валидности: стимул появлялся в целевой локации саккады
- Условие инвалидности: стимул появлялся в нетarget локации
- Базовое условие: измерение во время фиксации
Результаты исследования
Пороги остроты зрения во время фиксации
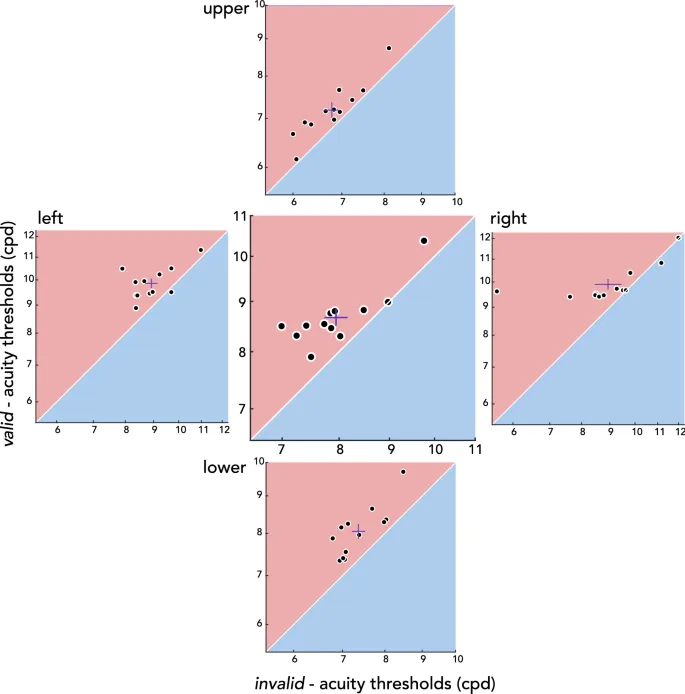
Текущие данные воспроизвели устойчивые асимметрии полей производительности в остроте зрения. Во время фиксации у участников была более высокая острота зрения на горизонтальном, чем на вертикальном меридиане, что согласуется с горизонтально-вертикальной анизотропией. В соответствии с асимметрией вертикального меридиана острота зрения также была выше для нижнего, чем для верхнего поля зрения.
Пороги остроты зрения во время подготовки к саккаде
По сравнению с фиксацией, острота зрения была значительно выше для валидного условия и ниже для инвалидного условия. Эта закономерность была последовательной across individuals и across полярных угловых локаций. Пресаккадические costs были больше, чем benefits, одинаково around поля зрения.
Соответствующие benefits и costs в остроте зрения при подготовке саккад к тестовому стимулу и away от него демонстрируют, что пресаккадическое внимание улучшает пространственное разрешение, и эти эффекты uniform across поля зрения.
Обсуждение результатов
В текущем исследовании мы спросили, улучшает ли пресаккадическое внимание пространственное разрешение в задаче на остроту зрения, и если да, то различаются ли пресаккадические benefits и costs across локаций полярного угла. До начала саккады острота зрения улучшалась в цели саккады (пресаккадические benefits) и снижалась для нетarget локаций (пресаккадические costs) по сравнению с базовой остротой, измеренной во время фиксации.
Сравнение с коvert вниманием
Направление скрытого пространственного внимания без движений глаз повышает производительность в различных задачах на пространственное разрешение. Примечательно, что эндогенное и экзогенное скрытое внимание различаются по тому, как они модулируют пространственное разрешение: тогда как эндогенное внимание является гибким механизмом, который может как увеличивать, так и уменьшать разрешение в зависимости от требований задачи, экзогенное внимание автоматически улучшает разрешение, даже если это detrimental для задачи.
Здесь мы нашли evidence, что пресаккадическое внимание — которое опирается на отделимую сенсорную настройку характеристик, нейронные вычисления и substrates, чем скрытое внимание — также улучшает пространственное разрешение.
Нейрофизиологические основы
Повышенная острота зрения в цели саккады согласуется с предыдущими reports о пресаккадическом внимании, избирательно улучшающем чувствительность к более высоким пространственным частотам. В частности, было показано, что пик кривой настройки пространственной частоты смещается в сторону более высоких частот во время подготовки к саккаде. Учитывая, что фильтры высокой пространственной частоты напрямую связаны с нашей способностью различать мелкие пространственные детали, повышенная чувствительность этих фильтров согласуется с increased порогами остроты зрения во время подготовки к саккаде.
Методология исследования
Участники и оборудование
В эксперименте участвовали двенадцать наблюдателей с нормальным или скорректированным к нормальному зрением. Все процедуры были одобрены институциональным наблюдательным советом Нью-Йоркского университета. Участники сидели в слабоосвещенной комнате с фиксированной головой с помощью подставки для подбородка и лба и просматривали стимулы с расстояния 79 см.
Процедуры титрования
Мы титровали пространственную частоту стимулов отдельно для каждого экспериментального условия и для каждой кардинальной локации с помощью байесовской адаптивной психометрической ступенчатой процедуры. Всего для каждого участника было 48 независимых адаптивных процедур, нацеленных на 75% точность дискриминации ориентации.
Статистический анализ
Статистические результаты основаны на перестановочном тестировании с 1000 итераций с перемешанными данными. P-значение — это proportion метрики в permuted нулевом распределении, greater than или equal to метрике, вычисленной с использованием intact данных. Мы также выполнили байесовскую статистику с использованием пакета «BayesFactor» в R.
Заключение и выводы
Настоящие findings раскрывают, что пресаккадическое внимание обостряет остроту зрения в цели саккады еще до того, как она попадает в высокоразрешающее фовеальное зрение. Сужая разницу между фовеальной и периферической остротой, это смещение способствует плавному переходу между периферическими и фовеальными репрезентациями. Эти результаты parallel замечательную стабильность, с которой визуальные percepts поддерживаются across быстрых изменений retinal изображений во время саккадических движений глаз.
Усиление остроты было uniform в изоэксцентричных локациях around поля зрения, таким образом preserving, а не изменяя форму асимметрий поля зрения, несмотря на typically robust эффект пресаккадического внимания.