
Интересное сегодня
Аутичная радость: как люди с аутизмом находят счастье в повс...
Я помню, как была в центре озера. Одна. Только я, вода, небо и далекие деревья. Это было блаженство....
12 пар черепных нервов: функции, строение и нарушения
Обзор черепных нервов 12 пар черепных нервов напрямую связаны с головным мозгом, минуя спинной мозг....
Проблемное использование социальных сетей связано с верой в ...
Введение Согласно новому исследованию, проведенному учеными Университета штата Мичиган, индивиды, ис...
Как читать диаграмму «ящик с усами»: полное руководство
Что такое диаграмма «ящик с усами»? В описательной статистике диаграмма «ящик с усами» (англ. boxplo...
Стратегии поиска пищи у человека: влияние распределения ресу...
Введение в поиск пищи Поиск пищи — это практически универсальное поведение в животном мире, необходи...
Тёмная триада личности: как распознать манипулятора и защити...
Что такое Тёмная триада личности? Если вы когда-либо чувствовали, что вами манипулируют или использу...
Введение
Изображения объектов на нашей сетчатке постоянно меняются — уменьшаются, увеличиваются и меняют форму по мере нашего движения в пространстве. Способность видеть объекты сохраняющими постоянный размер, несмотря на эти dramatic изменения изображения на сетчатке, называется "константностью размера" (Boring, 1940; Sperandio & Chouinard, 2015). Чтобы вычислить размер объекта, наш мозг должен интегрировать информацию о проекции объекта на сетчатку и кажущемся расстоянии до объекта. Без этого наш мир казался бы хаотичным и трудным для понимания.
Методология исследования
Экспериментальный подход
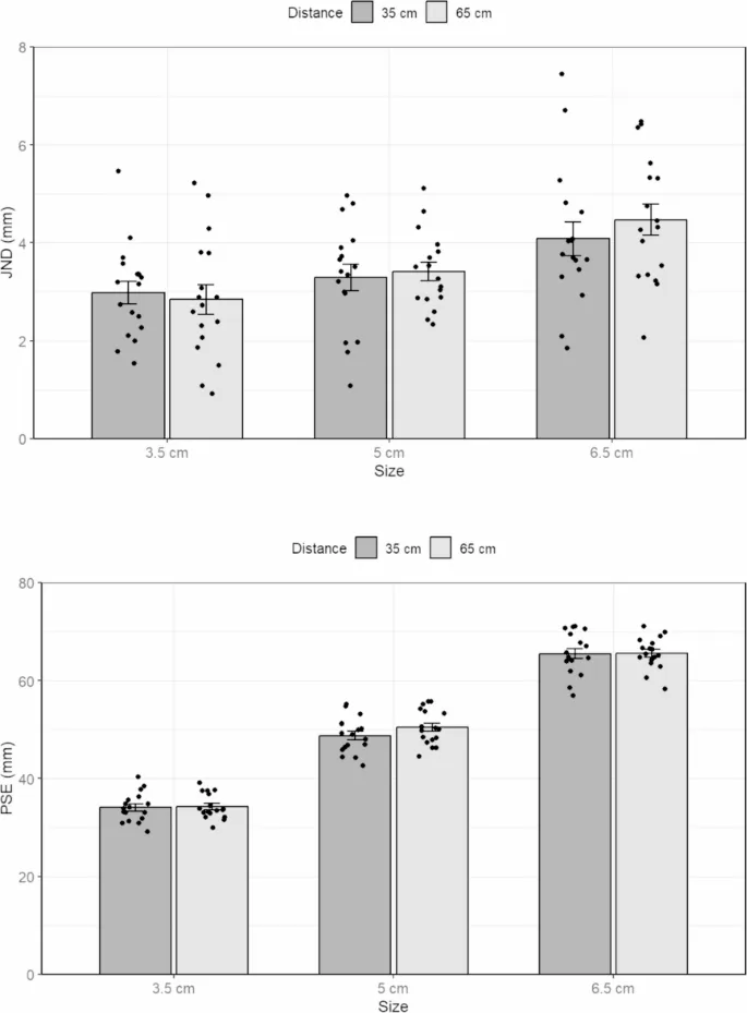
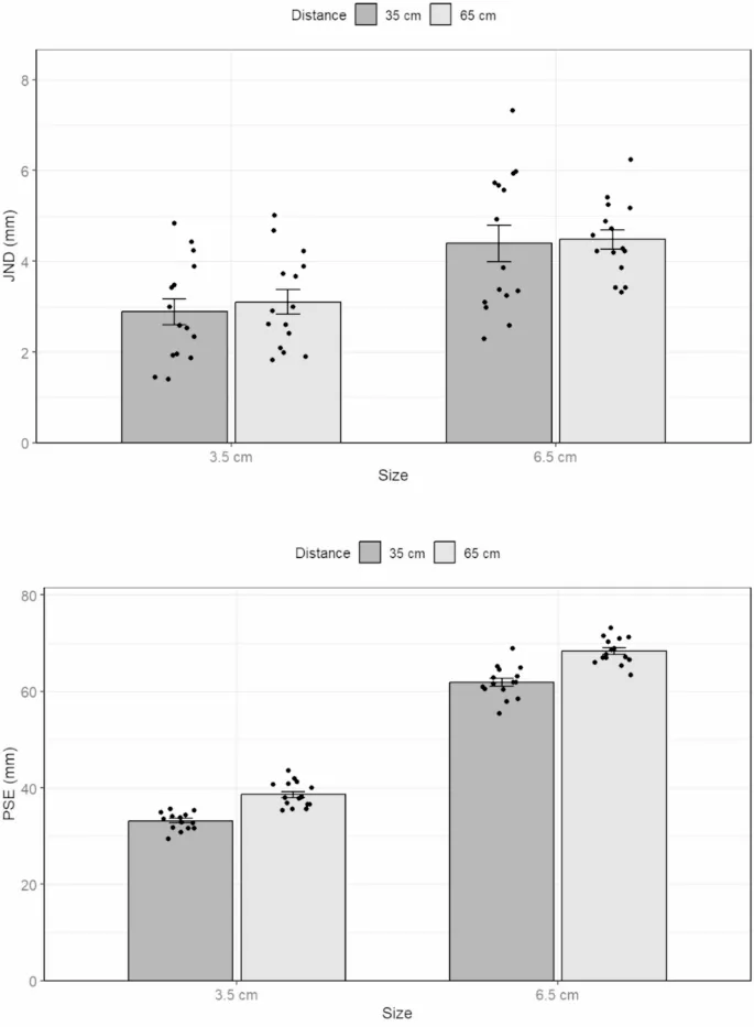
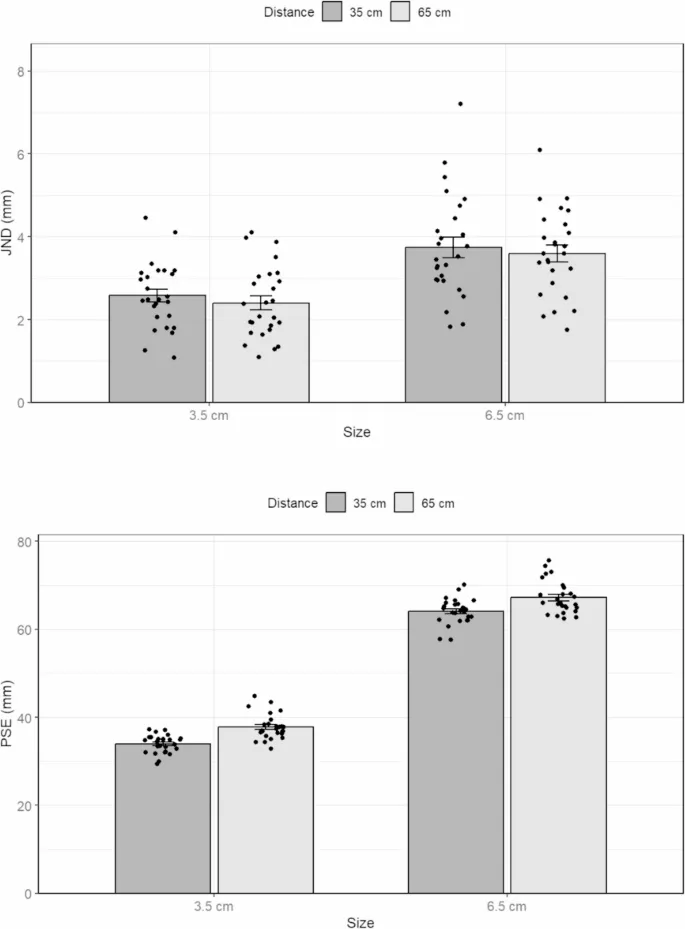
Для решения этого вопроса была проведена серия психофизических экспериментов, в которых независимо манипулировались размер стимула и расстояние просмотра в 3D-пространстве. Чтобы максимизировать потенциальный эффект расстояния, были выбраны две различные позиции просмотра: одна в ближнем пространстве (35 см), а другая за пределами типичной границы персонального пространства (65 см).
Измерительные показатели
Помимо порога заметного различия (JND), мы также измеряли точку субъективного равенства (PSE) для каждого объекта, представленного с близкого или distant вида, что отражало воспринимаемый размер объекта.
Результаты экспериментов
Эксперимент 1: Метод регулировки
Результаты показали, что JND не зависит от расстояния до наблюдателя или от visual угла, проецируемого на сетчатку. Основное влияние на JND оказывал физический размер объекта, что соответствует закону Вебера.
Эксперимент 2: Изменение положения стимулов
Повторение эксперимента с изменением положения обоих стимулов подтвердило результаты первого эксперимента. JND оставался чувствительным к фактической длине объекта, но не к расстоянию просмотра.
Эксперимент 3: Метод постоянных стимулов
Использование другого психофизического метода подтвердило предыдущие выводы. JND снова зависел от размера объекта, а не от расстояния просмотра.
Эксперимент 4: 3D объекты
Эксперимент с реальными 3D объектами показал, что визуальное разрешение размера основано на физическом размере объектов, а не на расстоянии или visual проекциях на сетчатке.
Обсуждение результатов
Результаты наших четырех экспериментов не поддерживают гипотезу о влиянии расстояния на perceptual разрешение размера. Визуальное разрешение размера, измеренное через JND, оказалось зависимым только от размера объекта, независимо от заметных различий в расстоянии просмотра.
Способность обнаруживать изменения величины зависит от высокоуровневого визуального представления объектов, но至少 частично независима от сознательного восприятия размера
Выводы
Исследование демонстрирует, что воспринимаемый размер объекта, а не retinal размер изображения, определяет нашу способность различать размеры. Это открытие имеет важное значение для понимания механизмов visual восприятия и может повлиять на различные области, включая дизайн интерфейсов и виртуальную реальность.