
Интересное сегодня
Как крысы учатся бояться: Нейронные механизмы высших эмоций
Важность эмоционального обучения Согласно новому исследованию, крысы могут учиться бояться через кос...
Эмоциональная привязанность к ИИ: новое исследование из Япон...
Искусственный интеллект (ИИ) становится все более интегрированным в нашу повседневную жизнь. В резул...
Как психологическое благополучие влияет на память в среднем ...
Новое 16-летнее исследование более 10,000 взрослых показывает, что высокий уровень психологического ...
Психометрические свойства арабской версии шкалы оценки стрес...
Введение Стресс является важной темой для исследования в психиатрии, так как он влияет на физическое...
Научное разоблачение мифа о правом полушарии: как на самом д...
Креативность — это не только правое полушарие Десятилетиями считалось, что креативность — это функци...
Влияние жестокого обращения в детстве на риск суицида среди ...
Введение Около 2,1 миллиона подростков и молодых людей в странах субсахарской Африки живут с вирусом...
Введение
Эмоции позволяют нам осмысленно воспринимать внутренний и внешний опыт. Они включают субъективные переживания, физиологические изменения, когнитивные процессы и экспрессивное поведение. Дэвидсон предложил, что эмоциональные реакции состоят из взаимосвязанных, но различимых компонентов:
- Порог активации эмоциональной реакции (как легко она возникает).
- Интенсивность эмоционального ответа.
- Длительность эмоциональной реакции (время возвращения к исходному уровню).
Эти компоненты объединяются под термином «эмоциональная реактивность». Адаптивное эмоциональное функционирование предполагает своевременные и пропорциональные реакции, в отличие от гипер- или гипореактивности.
Роль позитивных эмоций
Согласно теории «расширяй и строй» Фредриксона, позитивные эмоции способствуют развитию физических, интеллектуальных и социальных ресурсов. Их культивирование помогает предотвращать и лечить депрессию, тревогу и стрессовые расстройства. Позитивные эмоции также связаны с меньшим уровнем воспалительных маркеров, в отличие от негативных.
Интероцепция и эмоции
Эмоции тесно связаны с интероцепцией — восприятием внутренних сигналов тела. Адаптивные эмоциональные реакции требуют согласованности в обнаружении и интерпретации телесных ощущений. Нарушения интероцепции и эмоциональной регуляции лежат в основе депрессии, тревоги и соматических симптомов.
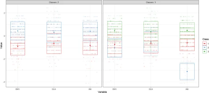
Профили связи разума и тела
Опросник BodyMind Connection Questionnaire (BMCQ) оценивает три аспекта:
- Интероцептивное внимание (способность замечать внутренние сигналы).
- Артикуляция ощущений и эмоций (связь телесных ощущений с эмоциями).
- Ценности разума и тела (убеждения о благополучии).
Исследования выявили три профиля:
- Сильная связь разума и тела — высокие показатели по всем шкалам.
- Слабая связь — сниженные ценности и эмоциональные способности.
- Разобщенность — низкие показатели по всем шкалам.
Эмоциональная реактивность и регуляция
Профили по-разному влияют на эмоции:
- Люди с сильной связью испытывают позитивные эмоции чаще, интенсивнее и дольше.
- Слабая связь связана с трудностями регуляции эмоций.
- Наличие психологических расстройств усугубляет сложности регуляции негативных эмоций.
Клинические и исследовательские приложения
Результаты подчеркивают важность учета связи разума и тела в терапии. Например, практики осознанности могут улучшить интероцептивное внимание, но требуют адаптации для людей с алекситимией.
Заключение
Исследование подтверждает валидность BMCQ и демонстрирует влияние связи разума и тела на эмоциональные процессы. Дальнейшие исследования могут углубить понимание этих механизмов в клинических популяциях.