Почему люди терпят неравенство: роль политической эффективности и мобильности

Почему люди терпят неравенство: роль политической эффективности и мобильности

Интересное сегодня

Как саккады влияют на функциональную модульность в зрительно...

Влияние саккад на функциональную модульность в зрительной коре человека Зрительная кора, которая отв...

Нейронные корреляты изменённого внимания к вознаграждению пр...

Введение Хроническая боль является серьезной проблемой, затрагивающей миллионы людей по всему миру. ...

Кто счастливее в отношениях с большой разницей в возрасте: н...

Психология отношений с большой разницей в возрасте Большинство людей встречаются или женятся на парт...

Влияние детского насилия на подростковую агрессию в отношени...

Подростковые романтические отношения, чаще всего определяемые как текущие или прошлые отношения инти...

Почему люди становятся левшами: генетика и развитие мозга

Почему люди становятся левшами? Примерно 10 из 100 человек — левши. Ученые десятилетиями пытались по...

Неравенство счастья и экономический рост в Китае: кривая Куз...

Неравенство счастья и экономический рост в Китае: исследование кривой Кузнеца Исследования счастья,...

Рисунок 2
Рисунок 2
Рисунок 3
Рисунок 3
Рисунок 4
Рисунок 4
Рисунок 5
Рисунок 5
Рисунок 1
Рисунок 1
Thumbnail 1
Thumbnail 2
Thumbnail 3
Thumbnail 4
Thumbnail 5
Thumbnail 6
Thumbnail 7
Thumbnail 8
Оригинал исследования на сайте автора

Введение

Растущее экономическое неравенство во всем мире характеризуется как одна из главных проблем нашего времени с далеко идущими последствиями для социальной сплоченности, экономического роста и показателей здоровья1,2. Несмотря на масштабное неравенство, люди часто терпят его и в некоторых случаях даже поддерживают низкий уровень перераспределения3,4. Это расхождение между растущим неравенством и низкой поддержкой перераспределения было охарактеризовано как парадокс для медианных избирателей5 и особенно для лиц с низким социально-экономическим статусом, которые страдают от неравного распределения ресурсов.

Объяснение терпимости к неравенству

В этой статье мы используем новую экспериментальную парадигму для изучения двух альтернативных объяснений терпимости людей к неравенству. Наиболее prominent explanation (видное объяснение) focuses on ideology and posits that optimism about personal prospects of upward mobility reduces support for redistribution6,7,8. Менее изученное объяснение focuses on political factors that render disadvantaged individuals’ collective efforts to reduce economic inequality inefficient and therefore undermine their willingness to demand redistribution.

Гипотеза перспектив мобильности

Данные национальных и международных опросов показывают, что высокие перспективы мобильности идут рука об руку с высокой терпимостью к неравенству и низкой общественной поддержкой перераспределения7,9,10,11,12. Экспериментальные данные corroborate (подтверждают) эту гипотезу, показывая, что воздействие высоких перспектив мобильности увеличивает терпимость к неравенству9,12. Примечательно, что более неравные общества характеризуются более низкими показателями межпоколенческой мобильности13,14, что позволяет предположить, что оптимистичные перспективы мобильности в этих обществах могут привести к сохранению высокого экономического неравенства.

Гипотеза отсутствия политической эффективности

Данные из многих стран мира свидетельствуют о том, что правительства в основном реагируют на предпочтения богатых граждан и гораздо меньше — на предпочтения менее обеспеченных групп21,22,23. Этот дисбаланс политической власти еще более усиливается, когда экономическое неравенство велико, поскольку у богатых граждан больше возможностей влиять на государственную политику24,25. Низкая политическая эффективность disadvantaged individuals (неблагополучных individuals) может lead to low electoral turnout, eroding public confidence in democratic institutions, and a growing trend of political inaction26,27.

Методология исследования

Мы провели два предварительно зарегистрированных эксперимента (preregistered experiments), в которых создали динамическую среду, где individuals с низким доходом collectively demand income redistribution by contributing to a public pool (collective action strategy — стратегия коллективных действий), compete with each other for high-income group positions (individual mobility strategy — стратегия индивидуальной мобильности), or avoid risks and disengage from both strategies (social inaction strategy — стратегия социального бездействия).

Участники и процедура

Участниками были жители Великобритании, набранные через онлайн-платформу Prolific Academic. В Исследовании 1 мы набрали 232 участника (средний возраст = 31,1, SD = 10,7, 149 женщин). В Исследовании 2 мы набрали 664 участника (средний возраст = 32,0, SD = 10,0, 265 женщин). Экспериментальные сессии проводились онлайн с использованием программного обеспечения oTree45.

Экспериментальная парадигма

В начале каждой сессии участники выполняли «Задачу подсчета нулей» (Counting Zeros Task)46 для получения дохода. Затем мы проинструктировали participants, что они будут randomly assigned to a low-income (£1) или high-income group (£5). В действительности все четыре участника каждой сессии были assigned to the low-income group (т.е. использовался deception — обман), что является группой, реакции которой на неравенство мы aim to investigate.

После распределения по группам четыре члена группы с низким доходом получили десять независимых возможностей (т.е. десять раундов) увеличить свой доход, играя в игру с общественными благами с порогом (threshold public goods game). В каждом раунде им выдавалось десять Action Points (APs — Баллов Действий), которые они могли инвестировать в три различные стратегии:

  • Стратегия коллективных действий: члены группы с низким доходом могли collectively demand income redistribution by contributing their APs to the public pool. В каждом раунде, если общие взносы в общественный пул превышали определенные пороги, доход перераспределялся от группы с высоким доходом к группе с низким доходом.
  • Стратегия индивидуальной мобильности: члены группы с низким доходом могли increase their chances of moving to the high-income group by allocating their APs to a personal account.
  • Стратегия социального бездействия: члены группы с низким доходом могли avoid risks related to collective action or individual mobility by exchanging their APs for money (1AP = £0.05).

Результаты исследования

Влияние политической эффективности

В соответствии с гипотезой H1, low (vs high) efficacy of disadvantaged individuals gradually curtailed collective demand for redistribution. Этот эффект взаимодействия efficacy и времени был driven by the declining popularity of the collective action strategy в условии low efficacy. В обоих условиях efficacy участники инвестировали около половины своих APs в перераспределение в первом раунде. Однако к последнему раунду доля APs, инвестированных в перераспределение, упала до 17% в условии low efficacy, в то время как она оставалась стабильной на уровне около 50% в условии high efficacy.

Влияние перспектив мобильности

Вопреки гипотезе перспектив мобильности, exposure to high (vs low) prospects of mobility не оказало impact на collective action against inequality, но, как hypothesized (H2), привело к increased investment in individual mobility. Вопреки H3a, эффект перспектив мобильности на индивидуальную мобильность не declined over time, так как investment в эту стратегию оставался stable в обоих условиях перспектив мобильности.

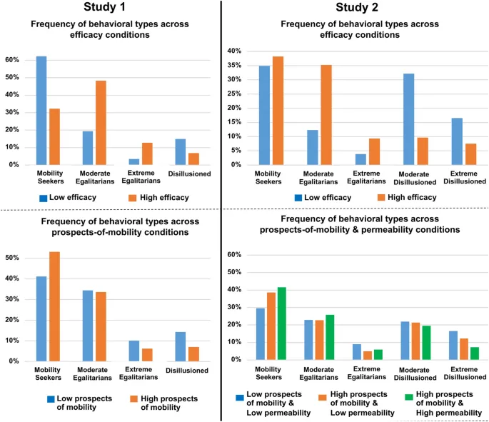
Поведенческие типы

Анализ выявил три основных behavioral types (поведенческих типа) среди participants:

  • «Искатели мобильности» (Mobility seekers): преимущественно стремились к индивидуальной мобильности на протяжении всех десяти раундов, последовательно инвестируя 37–50% своих APs в эту стратегию.
  • «Эгалитаристы» (Egalitarians): persistently engaged in collective action на протяжении всех десяти раундов. Мы identified moderate и extreme версии «эгалитаристов».
  • «Разочарованные» (Disillusioned): gradually disengaged from both risky strategies (в основном от перераспределения) и opted for the risk-free и low-profit стратегию социального бездействия.

Распространенность behavioral types значительно differed across high и low efficacy conditions. Low efficacy decreased the frequency of «эгалитаристов», в то время как increased the number of «разочарованных». В contrast, exposure to high (vs low) prospects of mobility и high (vs low) group permeability не influence на frequency behavioral types.

Обсуждение

Наша работа показала, что low political efficacy of disadvantaged individuals, но не exposure to high prospects of mobility или даже high group permeability, undermines public demand for income redistribution. Важно, что observed differences между efficacy-based и mobility-based explanations терпимости к неравенству являются не только statistically significant, но и quantitatively relevant и persistent over time.

Exposure to high prospects of mobility, даже когда combined with highly permeable income group boundaries, не undermined collective action against inequality, так как individuals с низким доходом predominantly shifted от одной индивидуалистической стратегии (social inaction) к другой (individual mobility). Это finding contradicts гипотезе перспектив мобильности6.

Согласующийся с gradual erosion of the public good44, collective demand for redistribution started off как самый popular strategy across всех conditions, но gradually declined, когда disadvantaged individuals lacked political efficacy. Несмотря на declining collective action, income gap был persistently deemed unfair и даже more so в условии low efficacy. Это discrepancy между beliefs и behavior disproves system-justifying account, согласно которому powerless individuals legitimize inequality они tolerate29.

Заключение

Настоящая работа highlights lack of political efficacy как plausible explanation терпимости disadvantaged individuals к растущему неравенству и casts doubt на prominent mobility-based explanations, особенно в contexts, где social inaction является alternative strategy к costly collective action и individual mobility. Эти результаты call for more attention на то, как broader political factors affect motivations disadvantaged individuals к address economic inequality.

Короткие версии статей можно найти в телеграм-канале.

Посмотреть канал
Кликните еще раз для перехода

Сени Леди Супер Прокладки Урологические Впитывающие №15

Сени Леди Супер Прокладки Урологические №15 обеспечивают высокую впитываемость при минимальной толщи...

Зубная паста President Baby 0-3 лет Малина для первого зуба

Зубная паста President Baby для детей 0-3 лет с нежным малиновым вкусом. Безопасная формула с абрази...

Гель-смазка Contex Romantic Клубника 30Мл - Купить

Гель-смазка Contex Romantic с нежным ароматом клубники для комфортной интимной близости. На водной о...

Чай Похудей 2г №30 – натуральный контроль веса

Чай «Похудей Для Здоровья Людей» в фильтр-пакетах по 2 г (№30) помогает мягко поддерживать контроль ...

Гель для душа Нести Данте Романтика Флорентийская Роза-Пион

Гель для душа Нести Данте Романтика с ароматом флорентийской розы и пиона создан для ежедневного ухо...

Аскорбиновая кислота с сахаром 25 мг №10 — купить в аптеке

Аскорбиновая кислота с сахаром в таблетках 25 мг №10 — удобный способ поддержать иммунитет и восполн...