
Интересное сегодня
Как стресс на работе влияет на вашу собаку: научные данные и...
Невидимая связь: когда ваш стресс становится стрессом вашей собаки Собаки невероятно чувствительны. ...
Роль осознанности в уменьшении депрессивных симптомов у один...
Введение Одиночество признано важной глобальной проблемой здоровья. Исследования показывают, что оди...
Выразительность лица: как мимика влияет на социальные преиму...
Введение Лицо — основной инструмент человеческого общения, используемый миллионы лет. В повседневных...
Психологические последствия ухода за ребёнком с редким забол...
Редкие заболевания часто начинаются в детском возрасте и, как правило, являются хроническими и прогр...
Как время получения социальной информации влияет на наши суж...
Введение Многие, если не большинство, повседневных решений людей в таких разнообразных областях, как...
Влияние насильственного телевидения на мальчиков: тревожные ...
Недавнее исследование, проведенное на основе данных почти 2000 детей, показало, что мальчики, подвер...
Введение в модель гармониума
Таксономическая модель психопатологии долгое время доминировала в психиатрии, предлагая классификацию расстройств через категории DSM и МКБ. Однако её клиническая полезность ограничена из-за высокой гетерогенности симптомов и отсутствия чётких границ между расстройствами. Это привело к поиску альтернатив, среди которых выделилась концепция p-фактора — общего механизма, лежащего в основе всех психических расстройств.
Теоретические основы p-фактора
P-фактор объясняет ковариацию между различными диагностическими категориями через три основные размерности: экстернализацию, интернализацию и расстройство мышления. Исследования показывают, что именно расстройство мышления вносит наибольший вклад в p-фактор, проявляясь не только при психозах, но и при других расстройствах, например, депрессии.
Гармониум-модель как вычислительный подход
Гармониум-модель (HM) предлагает вычислительное объяснение p-фактора через концепцию Фазового Пространства Смыслов (ППС). Согласно HM, психопатология соответствует низкоразмерному ППС, где когнитивная система обрабатывает среду через ограниченное число компонентов, игнорируя нюансы и непрерывную изменчивость окружения.
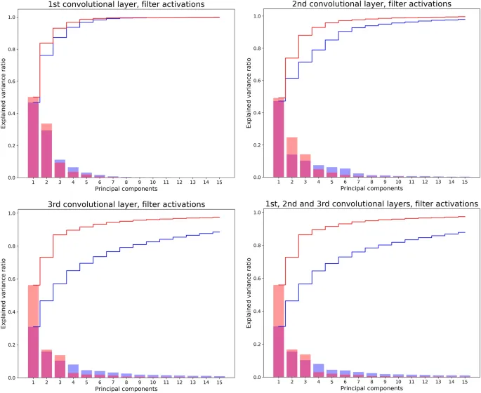
Дизайн исследования
Исследование использует свёрточные нейронные сети (CNN) для симуляции нормотипических и патологических когнитивных процессов. Две конфигурации CNN обучались на задачах разной сложности: с случайным (RC) и фиксированным (FC) назначением цвета цифрам. Это позволило смоделировать различия вdimensionality обработки информации.
Результаты анализа
Точность классификации CNN в условиях FC составила всего 22.73%, против 98.99% в условиях RC. PCA-анализ активаций слоёв показал, что патологическая CNN характеризуется значительно меньшей размерностью и большей концентрацией дисперсии на первых факторных компонентах.
- Вес первичных размерностей (WPD) был выше в FC-условии
- Вес вторичных размерностей (WSD) — выше в RC-условии
- Число компонентов для объяснения 90% дисперсии (D90) было меньше в FC-условии
Обсуждение результатов
Результаты подтверждают гипотезу HM о том, что психопатология соответствует низкоразмерному, плохо модулируемому ППС. Это приводит к ригидной интерпретации среды через основные компоненты смысла и игнорированию дифференцированных характеристик окружения. Интересно, что различия между CNN были наиболее выражены в третьем свёрточном слое, что указывает на влияние иерархической обработки информации.
«Психопатология — это вопрос когнитивной системы, ограниченной обработкой опыта через несколько базовых размерностей смысла»
Практические implications
Исследование открывает возможности для разработки методов вмешательства, направленных на увеличениеdimensionality ППС через когнитивные тренировки и психотерапию. Это также подчёркивает важность раннего exposure к высокоразмерным средам для профилактики психопатологии.
Ограничения и будущие исследования
Исследование ограничено использованием одной задачи (распознавание цифр) и только двумя условиями обучения. Будущие работы должны воспроизвести результаты на более сложных стимулах и большем числе условий. Также необходимы исследования для валидации модели в реальных клинических условиях.