Как старение влияет на зрительное восприятие формы объектов: исследование анортоскопического восприятия

Как старение влияет на зрительное восприятие формы объектов: исследование анортоскопического восприятия

Интересное сегодня

Анализ ЭЭГ сетей иллюзорного движения у левшей и правшей

Введение в нейрофизиологию иллюзорного движения Восприятие собственного движения зависит от интеграц...

Когнитивная нагрузка и задержка P300 при легких когнитивных ...

Введение в проблему легких когнитивных нарушений Легкие когнитивные нарушения (ЛКН) представляют соб...

Польза прогулок для психического и физического здоровья

Если есть более радостный способ провести прохладное осеннее утро, чем прогуляться по парку, пиная л...

Как справиться с неопределенностью и перестать одержимо отно...

Принятие неопределенности Начало отношений всегда сопряжено с неопределенностью. Признайте, что вы н...

Трансдиагностический подход к оценке нейроразвития у детей: ...

Введение Нейроразвивающие состояния, включая расстройства аутистического спектра (РАС), синдром дефи...

Как артериальное давление, осознание болезни и приверженност...

Влияние гипертонии на качество жизни и эмоциональное состояниеГипертония, или повышенное артериально...

Рисунок 4
Рисунок 4
Рисунок 5
Рисунок 5
Рисунок 6
Рисунок 6
Рисунок 7
Рисунок 7
Рисунок 8
Рисунок 8
Рисунок 1
Рисунок 1
Рисунок 2
Рисунок 2
Рисунок 3
Рисунок 3
Thumbnail 1
Thumbnail 2
Thumbnail 3
Thumbnail 4
Thumbnail 5
Thumbnail 6
Thumbnail 7
Thumbnail 8
Thumbnail 9
Thumbnail 10
Thumbnail 11
Оригинал исследования на сайте автора

Введение в анортоскопическое восприятие

Одним из наиболее важных аспектов человеческого и млекопитающего зрения является наша способность распознавать и идентифицировать объекты по неполной информации. Как в естественной, так и в созданной человеком среде наш обзор объектов часто частично блокируется закрывающими поверхностями. Более 160 лет известно, что сильно загороженные объекты, которые обычно были бы визуально неузнаваемыми, могут быть успешно идентифицированы, когда они движутся. Это анортоскопическое восприятие опирается на способность зрительной системы интегрировать информацию во времени для завершения восприятия формы целого объекта.

Исторический контекст исследования

Явление анортоскопического восприятия впервые было изучено более 160 лет назад Цёлльнером. В своей демонстрации он перемещал простые фигуры, такие как квадраты или круги, за узкой вертикально ориентированной щелью (2 мм шириной × 40 мм высотой). Поскольку узкая ширина щели была намного меньше общего размера фигур, в любой момент времени была видна только небольшая часть каждого объекта. Тем не менее, Цёлльнер обнаружил, что когда эти фигуры быстро перемещались взад и вперед за щелью, можно было воспринимать всю форму квадратов и кругов.

Методология исследования

Участники эксперимента

В эксперименте участвовали 16 молодых и пожилых взрослых (средний возраст 20,5 и 74,6 лет соответственно). Зрительная острота всех участников была превосходной: острота зрения молодых и пожилых наблюдателей, измеренная на расстоянии 100 см, составляла -0,11 и -0,08 LogMAR (логарифм минимального угла разрешения) соответственно.

Стимулы и оборудование

Экспериментальные стимулы состояли из пяти естественно сформированных объектов (болгарских перцев, Capsicum annuum). Трехмерные формы твердых объектов определялись кинетическим глубинным эффектом — деформациями в проекционных силуэтах/отбрасываемых тенях твердых объектов, которые происходили при их вращении в глубину вокруг вертикальной декартовой оси.

Процедура эксперимента

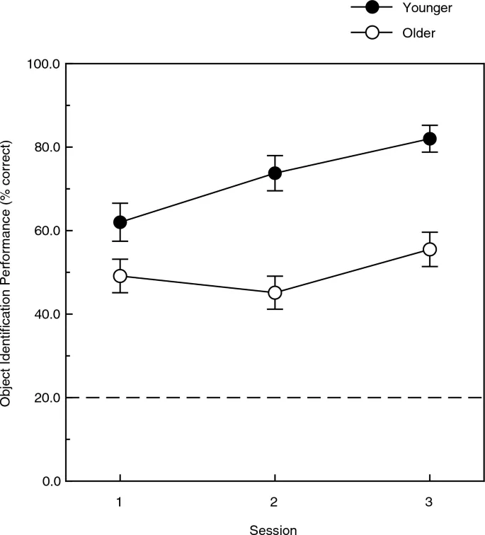
Каждый наблюдатель участвовал в трех экспериментальных сессиях по 100 trials (20 trials для каждого из 5 стимульных объектов). Перед экспериментом все наблюдатели были ознакомлены с уникальными формами этих пяти объектов до тех пор, пока не могли легко их распознавать (с точностью не менее 90%).

Результаты исследования

Возрастные различия в восприятии

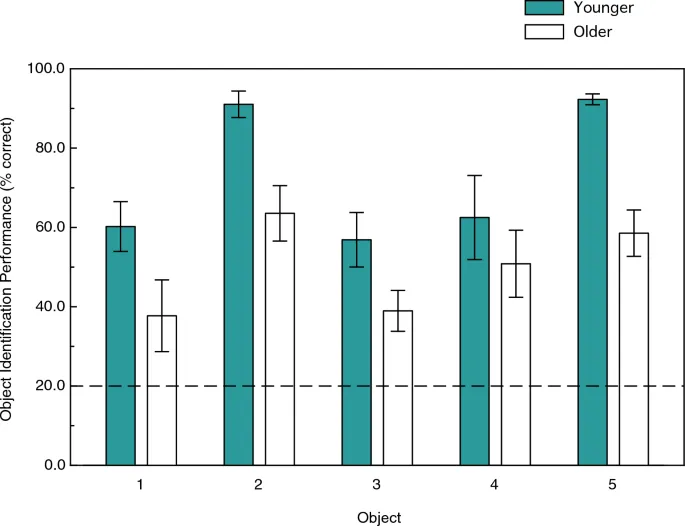
Результаты показали значительный возрастной дефицит в идентификации объектов при анортоскопическом просмотре. Производительность идентификации молодых взрослых была на 45,4% выше, чем у пожилых взрослых. Важно отметить, что все участники могли идентифицировать стимульные объекты с высокой степенью точности (90% или лучше), когда не было апертуры/щели.

Анализ объектных混淆нений

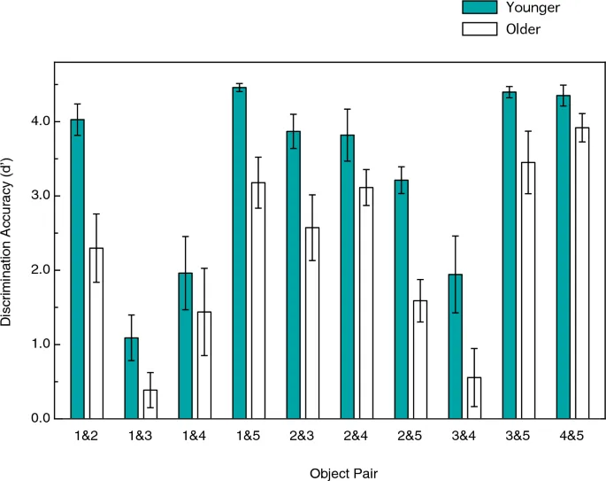
Анализ pairwise дискриминационной способности и объектных混淆нений показал, что пожилые наблюдатели демонстрировали большее разнообразие混淆нений между различными парами стимульных объектов. Молодые наблюдатели производили более высокие частоты правильных ответов и проявляли меньше объектных混淆нений.

Обсуждение результатов

Наши результаты демонстрируют, что старение сопровождается существенными дефицитами в способности распознавать объекты, когда они движутся за закрывающими поверхностями. Эффективное распознавание объектов в данных обстоятельствах требует эффективной интеграции информации во времени. Пространственные факторы также важны, особенно теория пространственно-временной соотносимости.

Практическое значение исследования

Эффективное поведение в повседневной жизни часто зависит от зрения в целом и визуального распознавания объектов в частности. Наши findings предполагают, что пожилые взрослые могут испытывать трудности в распознавании объектов (что снижает вероятность соответствующего responsive поведения) как в загроможденных созданных человеком средах, так и в натуралистических средах с густой растительностью.

Заключение

Пожилые взрослые могут анортоскопически воспринимать объекты, но их визуальные способности распознавания тем не менее impaired по сравнению с молодыми взрослыми. Это первое исследование старения и анортоскопического восприятия демонстрирует, что существует связанный с возрастом дефицит в выполнении временной интеграции, необходимой для успешного распознавания объектов.

Короткие версии статей можно найти в телеграм-канале.

Посмотреть канал
Кликните еще раз для перехода

Ловелас Форте для повышения либидо и улучшения эрекции

Ловелас Форте — мощный комплекс для усиления либидо и улучшения эрекции у мужчин. Содержит экстракты...

Алфит-9 Мастопатийный сбор — фитосбор для женского здоровья

Алфит-9 Сбор Мастопатийный Утро+Вечер — травяной фитосбор, специально разработанный для поддержки же...

Тэнгл Тизер Фиолетовый Цветок детская расческа

Тэнгл Тизер Фиолетовый Цветок — удобная детская расческа с мягкими зубцами, деликатно распутывает во...

Урьяж Дезодорант Тройного Действия 50 мл — гипоаллергенный

Урьяж Дезодорант Тройного Действия 50 мл — деликатное средство для чувствительной кожи подмышек. Без...

Септолете Тотал таблетки №16 — от боли в горле, антисептик

Септолете Тотал — эффективные таблетки для рассасывания при боли в горле и воспалении. Комбинация бе...

Помогуша сироп противопростудный для детей 100 мл — купить в...

Помогуша сироп противопростудный для детей с 3 лет — надежное средство при первых признаках простуды...