Как точность стимулов влияет на восприятие изменений: неожиданные результаты исследований

Как точность стимулов влияет на восприятие изменений: неожиданные результаты исследований

Интересное сегодня

Когнитивная стимуляция для пожилых: спрос, барьеры и возможн...

Оценка спроса, факторов и барьеров для внедрения интервенций когнитивной стимуляции у здоровых пожил...

Как опыт взаимодействия влияет на взгляд при расовых предубе...

Введение Множество факторов влияет на направление взгляда при восприятии визуальных сцен. Например, ...

Латентность к персистирующему сну (LPS): Оптимальное время д...

Введение: Проблема расхождения субъективной и объективной оценки сна Инсомния является одним из осно...

Как справиться с чувством перегруженности: практические сове...

Что значит чувствовать себя перегруженным? Эмоциональная перегруженность возникает, когда уровень ст...

Как трудности с концентрацией и негативные мысли влияют друг...

Ежедневные трудности с концентрацией могут усиливать и подпитываться негативными мыслями Для многих ...

Разработка и валидация шкалы психосоциального стресса у онко...

Целью данного исследования было разработать шкалу психосоциального стресса у онкологических больных ...

Рисунок 1
Рисунок 1
Рисунок 2
Рисунок 2
Рисунок 3
Рисунок 3
Thumbnail 1
Thumbnail 2
Thumbnail 3
Thumbnail 4
Thumbnail 5
Thumbnail 6
Оригинал исследования на сайте автора

Введение

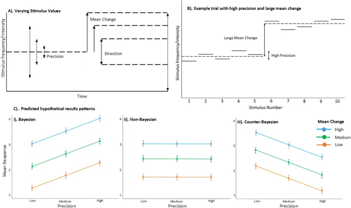
Вопреки классическим теориям сенсорной обработки, восприятие теперь рассматривается как активный процесс, при котором поступающая сенсорная информация используется для обновления внутренних моделей окружающей среды. Прогнозирующее кодирование, первоначально предложенное Рао и Баллардом, является одной из таких генеративных моделей, описывающих, как мозг функционирует как машина байесовского вывода, постоянно генерируя и обновляя внутреннюю модель окружающей среды.

Байесовские модели и точность стимулов

Байесовские модели описывают точность (обратную дисперсию) как ключевой фактор восприятия. Однако поведенческие эффекты точности изучены недостаточно. Стандартное предположение заключается в том, что более высокая точность приводит к большему удивлению (или воспринимаемому изменению) при эквивалентных сенсорных изменениях.

Методы исследования

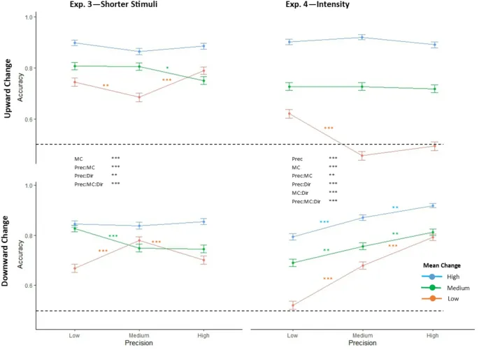
В четырех экспериментах с участием людей изучалось влияние точности на воспринимаемую значимость систематических изменений в потоках слуховых стимулов. Участники оценивали воспринимаемую значимость изменений (PSC) в среднем значении гауссовских последовательностей чистых тонов, варьирующихся по частоте или интенсивности, с последовательностями, различающимися по точности.

Гипотеза и результаты

Мы предположили, что PSC для определенного абсолютного среднего изменения будет положительно коррелировать с точностью стимула. Неожиданно мы наблюдали несколько случаев противоположного эффекта, когда PSC оценивался как более высокий в условиях низкой точности. Условия, при которых мы обнаружили доказательства контр-байесовской стратегии, включали экстремальные значения отдельных стимулов в последовательностях и в основном в экспериментах, где варьировалась частота, а не интенсивность.

Обсуждение

Эти результаты поднимают интригующую возможность того, что при определенных обстоятельствах, особенно характеризующихся низким отношением сигнал/шум, человеческое восприятие может использовать контр-байесовскую стратегию. Мы обсуждаем потенциальные механизмы, эволюционные преимущества и клинические последствия для будущей работы, чтобы дополнительно проверить эту фальсифицируемую гипотезу.

Клинические и эволюционные последствия

Эволюционное преимущество чрезмерной осторожности в восприятии изменений в условиях неопределенности может заключаться в более чувствительном обнаружении истинных угроз. Эти результаты также могут иметь значение для понимания клинических состояний, таких как тревожные расстройства, аутизм и психозы, где байесовский вывод может быть нарушен.

Заключение

Мы показали, что увеличение точности последовательностей стимулов не обязательно делает эквивалентные сенсорные изменения более удивительными или легче обнаруживаемыми, а в некоторых случаях оказывает противоположный эффект. Этот парадоксальный эффект точности указывает на то, что мозг может вести себя контр-байесовским образом, с присущими ему предубеждениями в сторону чрезмерного вывода небольших изменений в шумных условиях.

Короткие версии статей можно найти в телеграм-канале.

Посмотреть канал
Кликните еще раз для перехода

Димексид 100 мл раствор для наружного применения

Димексид 100 мл – концентрированный раствор диметилсульфоксида для наружного применения с противовос...

Нафтизин 0,1% капли 15 мл — средство от насморка и аллергии

Нафтизин раствор 0,1% в удобном тюбике-капельнице 15 мл — эффективное средство для облегчения носово...

Крем Uriage Xémose от раздражения кожи | Аптека

Восстанавливающий крем Uriage Xémose для чувствительной кожи мгновенно успокаивает раздражение и вос...

Назол Адванс спрей назальный: быстрое облегчение дыхания при...

Назальный спрей Назол Адванс с оксиметазолином быстро снимает заложенность носа при простуде, ОРВИ, ...

Корректор кутикулы Librederm 10 мл для ухода за ногтями

Корректор кутикулы Librederm в удобном флаконе 10 мл помогает аккуратно ухаживать за ногтями, мягко ...

Бальзам Нарин Лаванда 100Мл — лечение кашля, уход за кожей

Нарин Бальзам Для Тела Лаванда 100Мл — эффективное средство на основе эфирного масла лаванды и карто...