Нейробиологические особенности матерей, склонных к жестокому обращению с детьми: исследование с помощью диффузионной тензорной визуализации

Нейробиологические особенности матерей, склонных к жестокому обращению с детьми: исследование с помощью диффузионной тензорной визуализации

Интересное сегодня

Как когнитивные искажения связаны с политической поляризацие...

Введение Политическая и идеологическая поляризация в США продолжает расти. Многочисленные исследован...

Задача Джойнт Саймон не является совместной для обезьян капу...

Введение Сотрудничество в животном мире встречается повсеместно — от групповой охоты до защиты терри...

Как брак влияет на удовлетворённость жизнью: новое исследова...

Как меняется удовлетворённость жизнью до и после брака Более десяти лет назад социологи установили, ...

Как COVID-19 повлиял на психическое здоровье женщин во Вьетн...

ВведениеПсихическое здоровье — это состояние благополучия, при котором человек способен справляться ...

Влияние ИИ на благополучие: культурные и личные факторы

Введение На пороге новой эры, определяемой беспрецедентным технологическим развитием, повсеместное в...

Шкала оценки прокрастинации и прекрастинации: функциональные...

Введение в проблематику прекрастинации Каждый человек по-разному подходит к решению повседневных зад...

Рисунок 1
Рисунок 1
Рисунок 2
Рисунок 2
Thumbnail 1
Thumbnail 2
Thumbnail 3
Thumbnail 4
Thumbnail 5
Оригинал исследования на сайте автора

Введение

Жестокое обращение с детьми является глобальной социальной проблемой, оказывающей долгосрочное негативное влияние на физическое и психическое здоровье. По данным статистики, до 1 миллиарда (12,6%) детей в возрасте 2–17 лет ежегодно подвергаются физическому, эмоциональному или сексуальному насилию либо neglect (пренебрежению).

Нейробиологические основы жестокого обращения

Эпидемиологические исследования выявили такие факторы риска, как экономическая депривация, молодой возраст родителей, низкий уровень образования и психические расстройства. Однако эти факторы не всегда напрямую связаны с насилием, что подчеркивает необходимость изучения нейробиологических механизмов.

Методы исследования

В исследовании использовалась диффузионная тензорная визуализация (DTI) для сравнения структуры белого вещества у 11 матерей, признанных виновными в жестоком обращении с детьми, и 40 матерей из контрольной группы. Основные параметры DTI:

  • Фракционная анизотропия (FA) — показатель направления диффузии воды вдоль аксонов.
  • Аксиальная диффузия (AD) — диффузия параллельно волокнам.
  • Радиальная диффузия (RD) — диффузия перпендикулярно волокнам.

Результаты

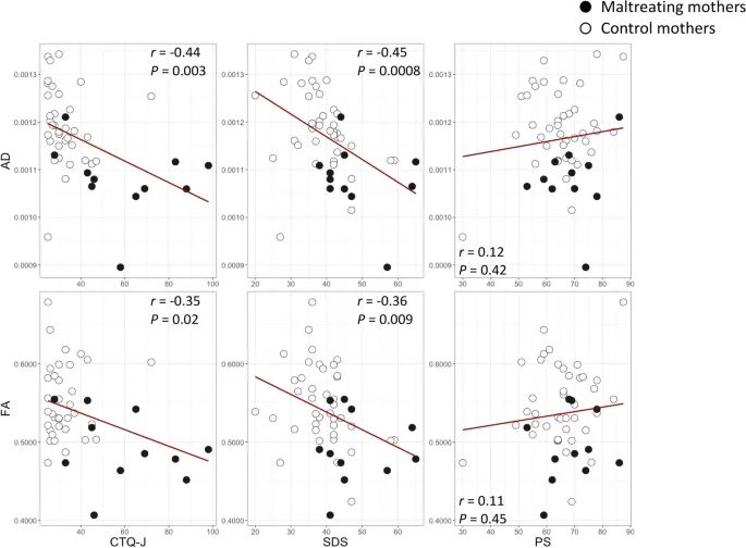
У матерей, склонных к насилию, обнаружено значительное снижение AD и тенденция к снижению FA в правом кортикоспинальном тракте (CST) по сравнению с контрольной группой. Эти изменения могут указывать на:

  • Нарушение микроструктуры аксонов.
  • Снижение контроля над произвольными движениями.

Связь с детскими травмами

Чем выше был уровень жестокого обращения в детстве у матерей (по шкале CTQJ), тем ниже были показатели AD и FA в CST. Наиболее сильная корреляция наблюдалась для сексуального насилия и эмоционального neglect.

«Снижение целостности CST может быть связано как с текущими депрессивными симптомами, так и с историей детских травм».

Обсуждение

Кортикоспинальный тракт играет ключевую роль в контроле произвольных движений. Его повреждение может приводить к:

  • Чрезмерной силовой реакции на стрессовые ситуации.
  • Повышенной импульсивности и агрессии.

Ограничения исследования

Небольшой размер выборки и отсутствие оценки текущих симптомов посттравматического стрессового расстройства (ПТСР) у участниц. Также не учитывалось влияние сопутствующих психических расстройств.

Заключение

Результаты подтверждают, что структурные изменения в белом веществе мозга у матерей, склонных к насилию, могут быть связаны как с их собственным травматическим опытом, так и с текущими депрессивными симптомами. Это открывает новые возможности для разработки targeted (таргетных) методов терапии, направленных на коррекцию нарушений в CST.

Короткие версии статей можно найти в телеграм-канале.

Посмотреть канал
Кликните еще раз для перехода

Крем для рук Нарин Ромашка 100 мл – защита и увлажнение

Крем для рук «Нарин Ромашка» 100 мл глубоко питает кожу, защищает от сухости и раздражения, особенно...

Шампунь Дюкрэ Скванорм от жирной перхоти - купить

Дюкрэ Скванорм Шампунь эффективно борется с жирной перхотью и регулирует работу сальных желез. Актив...

Крем Боро Плюс для кожи 50г - натуральный уход и защита

Крем Боро Плюс с натуральным защитным комплексом для ежедневного ухода за кожей. Содержит экстракты ...

Коэнзим Q10 Доппельгерц Актив 30 капсул — здоровье сердца

Доппельгерц Актив Коэнзим Q10 в капсулах №30 способствует поддержанию здоровья сердца и энергетическ...

Dr. Seba Роза Жизни сыворотка для лица 30 мл

Сыворотка Dr. Seba «Роза Жизни» нежно питает кожу, восстанавливает её естественное сияние и гладкост...

Стоматофит Экстракт 50 мл - лечение стоматита и гингивита

Натуральный экстракт Стоматофит эффективно снимает воспаление при стоматите, гингивите и пародонтите...