Точность опознания свидетелями: Анализ лабораторных и полевых исследований

Точность опознания свидетелями: Анализ лабораторных и полевых исследований

Интересное сегодня

Забывание сравнимо между здоровыми молодыми и пожилыми людьм...

Введение Одной из тревожных проблем нашего стареющего общества является когнитивное снижение, особен...

Как Навигация в Отношениях на Отскоке Может Привести к Росту...

Отношения на отскоке не имеют фиксированной продолжительности и могут варьироваться в зависимости от...

Аутизм и расстройства пищевого поведения: как улучшить лечен...

Введение Расстройства пищевого поведения (РПП) оказывают значительное влияние на детей, подростков и...

Как измерить вовлеченность аудитории: связь движения и внима...

Введение Реакция на произведения искусства и развлекательный медиаконтент предоставляет ценное окно ...

Что такое совместное ускорение ритма: исследование на пример...

Введение в феномен совместного ускорения ритма Когда люди engage in совместных действиях, они коорди...

Медитация и влияние на здоровье мозга: новая перспектива

Введение Проблема деменции и возрастного когнитивного снижения во всем мире растет из-за увеличения ...

Рисунок 8
Рисунок 8
Рисунок 9
Рисунок 9
Рисунок 10
Рисунок 10
Рисунок 11
Рисунок 11
Рисунок 12
Рисунок 12
Рисунок 13
Рисунок 13
Рисунок 1
Рисунок 1
Рисунок 2
Рисунок 2
Рисунок 3
Рисунок 3
Рисунок 4
Рисунок 4
Рисунок 5
Рисунок 5
Рисунок 6
Рисунок 6
Рисунок 7
Рисунок 7
Thumbnail 1
Thumbnail 2
Thumbnail 3
Thumbnail 4
Thumbnail 5
Thumbnail 6
Thumbnail 7
Thumbnail 8
Thumbnail 9
Thumbnail 10
Thumbnail 11
Thumbnail 12
Thumbnail 13
Оригинал исследования на сайте автора

Введение в проблему опознания свидетелями

Предъявление фотографий для опознания долгое время рекомендовалось для использования в полицейских расследованиях (Уэллс и др., 1998, 2020). Когда процедура проводится в соответствии с научно обоснованными рекомендациями, "безупречное" предъявление состоит из одного подозреваемого — человека, у полиции есть независимые основания полагать, что он мог совершить преступление — и пяти или более физически похожих заполнителей, предъявляемых вслепую вместе с инструкциями, указывающими, что преступник может быть или не быть в составе предъявляемых лиц. Кроме того, память свидетеля о подозреваемом должна проверяться только один раз (Уэллс и др., 2020; Уикстед и др., 2021).

Методы исследования точности идентификации

Чтобы понять точность идентификации, когда память очевидца изначально проверяется с использованием безупречных предъявлений, исследователи опирались как на лабораторные исследования с имитацией преступлений, так и на полевые исследования в реальных условиях. Каждый тип исследования имеет свои преимущества и недостатки.

Лабораторные исследования

Ключевое преимущество лабораторного исследования заключается в том, что известно, является ли подозреваемый в предъявлении невиновным или виновным. Это позволяет напрямую вычислить важный показатель, известный как точность идентификации подозреваемого (ID accuracy), который представляет собой долю идентификаций подозреваемого, которые приходятся на виновного подозреваемого. В простейшем случае, когда половина предъявлений содержит невиновного подозреваемого, а половина — виновного подозреваемого (равные базовые частоты), точность идентификации подозреваемого = количество идентификаций виновного подозреваемого / количество идентификаций невиновного и виновного подозреваемого. Это просто байесовская апостериорная вероятность вины при условии, что произошла идентификация подозреваемого.

Полевые исследования

Противоположные преимущества и недостатки применимы к полевым исследованиям в реальных условиях. В полевом исследовании основное преимущество заключается в том, что идентификации производятся реальными очевидцами, проверяемыми полицией в рамках реального уголовного расследования (то есть это не имитация). Основной недостаток заключается в том, что неизвестно, является ли подозреваемый в предъявлении невиновным или виновным, что делает невозможным прямое вычисление точности идентификации подозреваемого.

Сравнение одновременных и последовательных предъявлений

Вопрос о том, насколько хорошо очевидцы могут distinguish между невиновными и виновными подозреваемыми (т.е. различающая способность) в одновременных и последовательных предъявлениях, исследуется с тех пор, как последовательное предъявление было впервые предложено (Линдси и Уэллс, 1985). Различающая способность — это форма точности, отличная от байесовской апостериорной вероятности того, что данная идентификация верна (как в анализе confidence-accuracy characteristic), и она идеально измеряется с помощью анализа рабочей характеристики приемника (ROC analysis) (Уикстед и Микес, 2012).

История исследований

В течение многих лет нефункциональные меры, по-видимому, указывали на эффект превосходства последовательного предъявления (см. Стеблей и др., 2011, обзор). Однако первое основанное на ROC исследование диагностической точности в этих двух форматах предъявления, проведенное Микес и др. (2012) в лабораторном исследовании, неожиданно обнаружило свидетельства преимущества одновременного предъявления. Преимущество одновременного предъявления в различающей способности не всегда наблюдается в лабораторных исследованиях (например, Кеслер и др., 2020), но всякий раз, когда наблюдалась значительная разница, она была в пользу процедуры одновременного предъявления (например, Доболи и Додсон, 2013; см. Микес и Уикстед, 2024, обзор).

Анализ уверенности и точности (CAC анализ)

Далее мы объединили данные одновременных и последовательных предъявлений из лабораторного исследования Айяла и др. (2025) и напрямую вычислили точность идентификации подозреваемого в зависимости от уверенности (низкая, средняя и высокая). Затем мы сравнили результаты с основанными на модели оценками для данных полевого исследования HPD (также объединенных по одновременным и последовательным предъявлениям), представленными Уикстед и др. (2016). Как отмечалось ранее, Уикстед и др. оценили точность идентификации подозреваемого, подгоняя модель независимых наблюдений, проиллюстрированную на рис. 1 и 2, к данным.

Результаты сравнения

Наблюдаемая конвергенция, показанная на рис. 4, придает достоверность результатам обоих исследований. Более того, результаты указывают на то, что среди свидетелей, протестированных в этих исследованиях, незагрязненная память, когда впервые тестировалась с использованием безупречного предъявления, давала надежную информацию.

Базовые частоты в исследованиях

Лабораторные исследования обычно используют 50% предъявлений без цели (TA) и 50% предъявлений с целью (TP), но базовая частота TA и TP предъявлений в реальных полицейских расследованиях неизвестна. Однако, как отмечалось ранее, когда модель, проиллюстрированная на рис. 1 и 2, подгоняется к объединенным данным реального мира, она может дать оценку базовой частоты виновных подозреваемых (π), которая для данных полевого исследования HPD составила 0,35 (т.е. 35% предъявлений содержали виновного подозреваемого, а 65% — невиновного подозреваемого).

Важность оценки базовых частот

Оценка базовых частот из полевых исследований важна, потому что она является определяющим фактором точности идентификации подозреваемого — то есть байесовской апостериорной вероятности того, что положительная идентификация верна. Согласно теореме Байеса, более низкие базовые частоты виновных подозреваемых дают более низкую точность идентификации подозреваемого.

Теория отношения правдоподобия и переменные-оценщики

Анализы, представленные до этого момента, поддерживают идею о том, что в лаборатории и в реальном мире, когда память проверяется с использованием рекомендуемых процедур для предъявления, идентификации подозреваемого с высокой уверенностью highly reliable. Несколько противостоя этой перспективе, recent work suggests that идентификации подозреваемого с высокой уверенностью ненадежны при определенных обстоятельствах, даже когда незагрязненная память свидетеля впервые проверяется с использованием безупречного предъявления.

Влияние условий кодирования

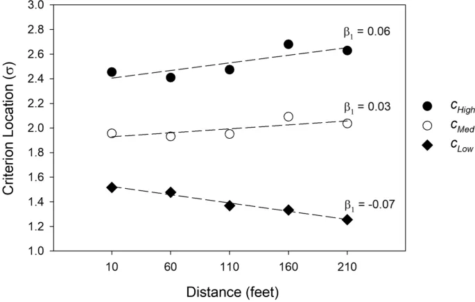
Семмлер и др. (2018) предложили теорию отношения правдоподобия для опознания очевидцами, согласно которой свидетели осознают негативные эффекты субоптимальных переменных-оценщиков и соответствующим образом корректируют свои оценки уверенности. Таким образом, например, по мере уменьшения d' (из-за плохого освещения, большого расстояния, эффекта оружия и т.д.) свидетели осознают субоптимальный характер условий кодирования и требуют, чтобы лицо генерировало более сильный сигнал совпадения памяти, прежде чем сделать уверенную идентификацию (тем самым сохраняя высокую точность).

Заключение и выводы

Здесь мы рассмотрели точность идентификации подозреваемого, когда память очевидца проверяется впервые (до загрязнения) с использованием безупречного одновременного или последовательного предъявления. В целом, прямые вычисления из лабораторного исследования Айяла и др. и основанные на модели оценки из полевого исследования HPD в основном согласуются: одновременные предъявления дают более высокую различающую способность, чем последовательные предъявления, уверенность предсказывает точность, точность при высокой уверенности существенно не зависит от плохих условий переменных-оценщиков, что согласуется с теорией отношения правдоподобия, и, что критически важно, модель обнаружения сигналов может использоваться для оценки базовой частоты вины в фактических полицейских предъявлениях.

Практическое значение

Когда анализ CAC был впервые применен к литературе о безупречных предъявлениях (Микес, 2015; Уикстед и Уэллс, 2017; Уикстед и др., 2015), результаты, которые долгое время считались иллюстрирующими подверженность ошибкам идентификаций с высокой уверенностью, вместо этого показали уровни точности, часто превышающие 95%. Сегодня широко признано, что уверенность является более информативной, чем считалось ранее, когда используется безупречное предъявление (например, Сил-Карлайл и др., 2024).

Важно подчеркнуть, что каждое уголовное дело в реальном мире уникально и не должно бездумно анализироваться с точки зрения findings мы сообщаем здесь. В то время как уверенность служит ценным диагностическим инструментом в cases опознания очевидцами, она должна рассматриваться alongside other empirically validated factors как часть всесторонней, case-by-case оценки доказательств идентификации.

Короткие версии статей можно найти в телеграм-канале.

Посмотреть канал
Кликните еще раз для перехода

Крем 9 месяцев от растяжек для беременных | Профилактика

Крем 9 месяцев — эффективное средство для профилактики и коррекции растяжек у беременных и кормящих ...

Охлаждающий прорезыватель Chicco — снятие боли при прорезыва...

Охлаждающий прорезыватель Chicco с удобной ручкой — идеальное решение для облегчения боли при прорез...

Acuvue Oasys Hydraluxe однодневные линзы -2,50 BC 8,5

Однодневные контактные линзы Acuvue Oasys with Hydraluxe (-2,50, BC 8,5) обеспечивают комфорт и четк...

Септолете Тотал таблетки №16 — от боли в горле, антисептик

Септолете Тотал — эффективные таблетки для рассасывания при боли в горле и воспалении. Комбинация бе...

Подгузники Merries для новорожденных - защита от опрелостей

Дышащие подгузники Merries для новорожденных до 5 кг созданы с уникальной технологией трёх слоёв, ко...

Эфирное масло лаванды Стикс 10 мл — купить для ароматерапии

Натуральное эфирное масло лаванды от Стикс — французское качество для релаксации и ухода. Идеально д...