Калибровочный эффект в визуомоторных задачах: исследование на примере дартса и забивания гвоздей

Калибровочный эффект в визуомоторных задачах: исследование на примере дартса и забивания гвоздей

Интересное сегодня

Как климатический кризис меняет представления о будущем: лич...

Введение в исследование кризисного восприятия Кризисы становятся все более заметной частью публичног...

Новая методика визуализации: D-PSCAN и ее значение для психи...

Введение Исследования показывают, что взаимодействие между мозгом и органами тела имеет важное значе...

Вербальная беглость как маркер деменции: прогноз при умеренн...

Вербальная беглость как предиктор развития деменции Пациенты с амнестическими умеренными когнитивным...

Эффективные действия в паре: как мы выбираем стратегии миним...

Введение В жизни мы часто сталкиваемся с необходимостью действовать совместно с другими. Важно понят...

Третья волна исследований медитации: как сложные переживания...

Эволюция исследований медитации: от клинических эффектов к продвинутым состояниямОсознанность можно ...

Майндфулнес-ориентированные программы для женщин с травмой и...

Коморбидность, связанная с травмой: серьезная угроза общественному здоровью Расстройства, связа...

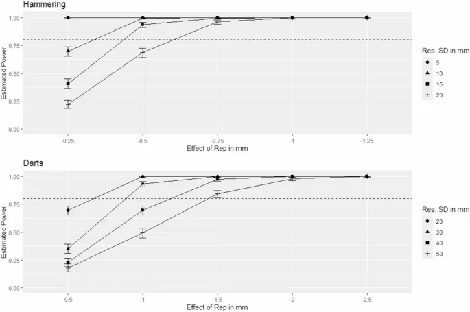
Рисунок 1: Результаты симуляции мощности для разных сценариев
Рисунок 1: Результаты симуляции мощности для разных сценариев
Рисунок 2: Анализ ошибок в задаче с молотком по раундам
Рисунок 2: Анализ ошибок в задаче с молотком по раундам
Рисунок 3: Анализ ошибок в задаче с дартсом по раундам
Рисунок 3: Анализ ошибок в задаче с дартсом по раундам
Thumbnail 1
Thumbnail 2
Thumbnail 3

Введение

Люди часто демонстрируют менее точные результаты при первом выполнении задачи в серии попыток. Это явление, известное как калибровочный эффект, наблюдается даже у экспертов (Wunderlich et al., 2020). Оно связано с необходимостью согласования внутренних моторных команд с внешней средой после перерывов в деятельности.

Теоретические основы

Задачи вроде метания дротиков или забивания гвоздей требуют:

  • Баллистических движений — быстрых действий, которые нельзя скорректировать в процессе.
  • Использования внутренних моделей (расчетов параметров движения на основе предыдущего опыта).
  • Калибровки между телесной системой отсчета (положение тела) и внешней системой отсчета (цель).
«Мозг использует ошибки предыдущих движений для коррекции будущих» — van Beers, 2009.

Методология

Участники и задачи

В исследовании участвовали 50 неопытных добровольцев. Они выполняли:

  • Метание дротиков (спортивная задача): 5 бросков за раунд с расстояния 2.5 м.
  • Забивание гвоздей (бытовая задача): 5 ударов геологическим молотком по мишени с 50 см.

Анализ данных

Ошибки измерялись как расстояние от точки попадания до центра мишени. Для статистики использовались линейные смешанные модели, учитывающие:

  • Эффект калибровки между повторениями.
  • Обучение в ходе 100 попыток.
  • Индивидуальные различия участников.

Результаты

Калибровочный эффект

В обеих задачах первая попытка в раунде была менее точной (p < .001):

  • Молоток: средняя ошибка снизилась с 12.3 мм (1-я попытка) до 9.1 мм (5-я).
  • Дартс: с 28.5 мм до 25.8 мм (исключая промахи).

Обучение и компенсация ошибок

Участники постепенно улучшали результат (p < .001), но эффект калибровки сохранялся. В задаче с молотком наблюдалась недостаточная компенсация ошибок: вторая попытка коррелировала с первой по направлению (p < .001).

Обсуждение

Исследование подтвердило гипотезу: калибровочный эффект универсален и не зависит от опыта. Его практические следствия:

  • Важность «разминочных» попыток перед точными действиями.
  • Роль внутренних моделей в моторном контроле.

Заключение

Калибровочный эффект — фундаментальный механизм, влияющий на точность движений. Дальнейшие исследования могут изучить его проявления в других задачах и у экспертов.

Короткие версии статей можно найти в телеграм-канале.

Посмотреть канал
Кликните еще раз для перехода

Барсучий жир жидкий 100 мл – натуральная поддержка здоровья

Барсучий жир в жидкой форме во флаконе 100 мл – натуральный источник Омега-3 и Омега-6, витаминов А ...

Бобс Леденцы от кашля Мята-Эвкалипт 35г | Аптека

Бобс Леденцы от кашля с мятой и эвкалиптом 35г — эффективное средство для смягчения горла и облегчен...

Бутылочка Avent 330 мл - снижение колик и комфортное кормлен...

Бутылочка для кормления Avent объемом 330 мл создана для комфортного питания малышей. Уникальная фор...

Парацетамол детский суспензия клубника 100 мл

Парацетамол детский суспензия с вкусом клубники (120 мг/5 мл) эффективно снижает температуру и облег...

Эдас-106 Гомеопатические капли 25 мл - купить в аптеке

Эдас-106 - гомеопатические капли для восстановления естественного баланса организма. Препарат растит...

Зубная щетка Colgate Массажер Средняя жесткости | Аптека

Зубная щетка Colgate Массажер средней жесткости эффективно удаляет зубной налет и бережно массирует ...